MINISTERIO DE AGRICULTURA,PESCA Y ALIMENTACIÓN

ICONA UNIVERSIDAD DE GRANADA

PROYECTO LUCDEME

MAPA DE SUELOS
ESCALA 1:100.000

PADUL - 1O26

1992

PROYECTO LUCDEME
MAPA DE SUELOS

Escala 1:100.000

PADUL - 1026

ICONA UNIVERSIDAD DE GRANADA FACULTAD DE FARMACIA DEPARTAMENTO DE EDAFOLOGIA

1992

Equipo investigador:

C. Sierra, Doctor en Farmacia. Profesor Titular del Departamento de Edafología. Facultad de Farmacia de Granada.

E. Ortega, Doctor en Farmacia. Profesor Titular del Departamento de Edafología. Facultad de Farmacia de Granada.

A. Roca, Doctor en Ciencias. Catedrático de Instituto.

I. Saura, Doctora en Farmacia. Profesora Titular del Departamento de Edafología. Facultad de Farmacia de Granada.

C. Asensio, Licenciado en Farmacia.

Trabajo realizado en el Departamento de Edafología de la Universidad de Granada.

Director: Profesor Doctor D. José Aguilar Ruiz.

Realización: Revisatlas, S.A. Fotocomposición: Rapygraf, S.A. Impresión: Gráficas Marte, S.A. Depósito legal: M-23001-1992 NIPO: 254.86-007-0

INDICE

Páginas

I. CARACTERÍSTICAS GENERALES.................................. 5

II. FACTORES FORMADORES............................................ 9

II. 1 Relieve ................................................................... 9

II. 2 Clima...................................................................... 9

II. 3 Vegetación ............................................................. 14

II. 4 Geología................................................................. 15

III. MATERIAL Y MÉTODOS ................................................ 19

IV. UNIDADES TAXONÓMICAS .......................................... 23

V. UNIDADES CARTOGRÁFICAS....................................... 155

VI. BIBLIOGRAFÍA ............................................................... 173

I. CARACTERÍSTICAS GENERALES DE LA ZONA

I.1. INTRODUCCION

Geográficamente se diferencian 4 unidades fundamentales: las dos más fértiles corresponden a las zonas meridional de la vega de Granada y septentrional del valle de Lecrín, respectivamente; la tercera engloba el extremo occidental de la hoja, zona del Temple, donde se cultivan productos de secano; por último están las estribaciones finales de Sierra Nevada por su cara occidental.

La explotación agrícola, cerealista y olivar, es básica en la vega de Granda, valle de Lecrín y zona intermedia, con desiguales resultados. Los regímenes de explotación pasan del minifundio, en el valle de Lecrín, al mediano latifundio de la zona de secano intermedia, quedando la vega de Granada en posición mixta.

En cuanto a las laderas de Sierra Nevada, su pendiente, causa de la poca profundidad y escasa manejabilidad del suelo, justifica la repoblación con pinos y conservación puntual del encinar autóctono. Hoy se explotan las kakiritas como cantera de áridos, acentuada por el plan actual de carreteras, que altera seriamente el paisaje de la zona.

En el conjunto del relieve destaca Montevives (71 m) que emerge aisladamente en la llanura y se hace visible desde Granada capital. En Sierra Nevada despunta la Silleta del Manar (1524 m), de difícil acceso; la cota máxima se ubica en el límite con la hoja de Güejar Sierra (1027 m) y se sitúa en los 1784 m.

La red hidrográfica viene condicionada por la litología, señalando diferencias en el encauzamiento y modo de encajarse los ríos: en los aledaños de Sierra Nevada es brusca y profunda, en contraste con las vegas donde es suave y los ríos circulan mansamente.

Los piedemonte, más algunas zonas de la unidad intermedia y las vegas, están fuertemente antropizados con abancalamientos que frenan la erosión y ordenan el paisaje de forma característica.

En el ámbito de la hoja hay 20 municipios, siendo Padul es más meridional y con mayor población. El término con menor densidad de población es Dílar, con 18 habitantes por km2, debido a que de las

7.819 Ha. del término sólo 1.800 son cultivables; un caso similar se da en Monachil, pero en general se puede afirmar el incremento demográfico se estabilizó a mediados de los 80, manteniéndose hoy los valores de población similares a los existentes en los años 60, cuando el principal agente causal fue la emigración acelerada (OCAÑA 1972).

1.1. COMARCAS GEOGRÁFICAS

De acuerdo con BOSQUE 1971, influido por el desarrollo histórico y la diversidad geográfica, se diferencian en 4 comarcas que son herencia de las unidades administrativas del reino nazarí. Son las siguientes:

Vega de Granada

Zona de regadío situada en el fondo de la Depresión del Genil, con un cinturón periférico dedicado a secano.

Los bordes que constituyen el mencionado cinturón son un conjunto de sierras, con ventana al oeste por donde discurre el río Genil. En el flanco E-SE dominan glacis y colinas; más al S. hay una extensa llanura conformada por el cono de deyección de la Zubia; el extremo meridional se caracteriza por el extenso glacis que engloba los términos de Gójar, Otura, Ojíjares, Alhendín y Armilla, conocido en conjunto como llanos de Armilla; el fondo de la Depresión lo ocupa una gran llanura aluvial.

El río Genil se erige receptor y conductor de las aguas que llegan a la Vega, cuyo caudal se mantiene con aportes de las sierras próximas.

Sierra de Granada

Aquí se sitúan, entre otros, los términos de Dílar y Monachil. La comarca se presenta globalmente como un gran anticlinal compuesto por un núcleo de pizarras rodeado por el cinturón de calizas y dolomías conocido como Calar.

Las zonas bajas, por efecto de la erosión y sedimentación, han acumulado materiales blandos compuestos por arcillas y limos, creando amplias zonas de asentamiento con gran interés agrícola, favorecidas por el suministro de agua abundante que se da en toda la comarca.

El Temple

Comarca integrada al sur de la Depresión del Genil, en su parte occidental, con relieve suave, de formas planas o ligeramente onduladas. La sedimentación miocena proporcionó materiales constituidos fundamentalmente por limos y yesos, apareciendo salpicados por el territorio montículos como el mencionado Montevives que no superan nunca los 100 m de altitud.

La base agrícola de esta comarca es el secano cerealista, existiendo pequeñas zonas de regadío inducidas por los recursos hídricos de la zona.

Valle de Lecrín

Está representado por la fosa tectónica, transversal a la Penibética, que separa Sierra Nevada de la Sierra de la Almijara y se rellena por materiales sedimentarios.

VILLEGAS 1972, diferencia tres unidades morfológicas mayores y siete menores. En nuestra zona sólo se encuentra la unidad menor de la Depresión de Padul, tránsito entre la Depresión de Granada y el Valle de Lecrín propiamente dicho.

Del uso agrícola hay que destacar la implantación del almendro, que supera hoy en importancia al olivo, asociando con cultivos de secano.

1.2. RECURSOS AGRÍCOLAS E INDUSTRIALES

El uso de la vega estuvo protagonizado por el cultivo de la remolacha, condicionando e impulsando una próspera industria azucarera durante el primer tercio del siglo. A partir de esa fecha, en época de la posguerra, desarrollan otros cultivos como la patata, lino, cáñamo... etc. Después de los años 50 se afianzaron las rotaciones de remolacha y tabaco con cultivos cerealistas, siendo este tipo de explotación el que se mantiene de formas más extensiva, unido al olivar y almendro.

Las otras zonas también se dedican a estos cultivos, si bien lo hacen en régimen de secano con predominio de cebada y trigo. En la actualidad se ven afectados por el incremento expansivo del almendro, en detrimento del olivar que está en ligero retroceso.

La actividad ganadera, aunque nunca fue importante, constituye desde antiguo un complemento a la agricultura. El ganado lanar y cabrío ha decrecido fuertemente en los últimos años por la limitación de pastos y su escasa rentabilidad. El ganado vacuno, de raza selecta, se ha incrementado mediante cría en estabulación. También ha adquirido valor comercial la avicultura habiéndose creado un gran número de granjas.

Dentro de los recursos forestales hay que destacar la ingente labor de repoblación llevada a cabo por ICONA en consorcio con ayuntamientos y particulares. Las especies utilizadas son pino carrasco, negro y pinaster.

Exploraciones industriales no agrícolas, dignas de mención, son las turberas, cuya turba se utiliza como abono orgánico y se está ensayando como fuente energética alternativa.

Los conos de deyección de la Sierra del Manar y alrededores son hoy grandes canteras de áridos; también son importantes las salinas de la Mala y las minas de estroncio de Montevives; finalmente cabe destacar los yacimientos de hierro de Dílar.

1.3. VÍAS DE COMUNICACIÓN

La carretera principal es la N-323 Bailen-Motril, que cruza el área norte a sur y es un importante nexo de unión entre Granada y la Costa. Esta carretera une directamente los municipios de Padul, Alhendín y Armilla, con Granada. La carretera C-340, Alora-Granada, es una vía de baja densidad de tráfico a pesar del trazado cómodo, motivado por la suavidad del terreno.

Por último, dentro de la red primaria está la carretera de Granada a Sierra Nevada, que se encuentra en muy buenas condiciones dentro del área de trabajo, tornándose estrecha y sinuosa a partir de Pinos Genil.

La red secundaria de carreteras sirve para unir pequeñas poblaciones con Granada y entre sí, encontrándose en un estado malo de conservación, situación injustificada si se tienen en cuenta las necesidades agrícolas y de las urbanizaciones que se ubican por toda esta superficie.

En la carretera nacional de Bailen-Motril, a la altura del puerto del Suspiro del Moro, nace la llamada carretera de la Cabra Montes, tradicional vía de comunicación entre Granada y Almuñécar, que por el peligroso trazado y pequeña anchura restringe su uso, a pesar de que respresenta un sensible ahorro de kilómetros respecto de la N-323.

1.4. HIDROLOGÍA

Hidrológicamente encaja dentro de la Depresión de Granada y más concretamente en la cuenca del río Genil, gran río de Sierra Nevada que penetra ligeramente en el extremo noreste de la hoja, al que desembocan, por su margen izquierda, los arroyos de Chimeneas y Salado en el cuadrante occidental y los ríos Dílar y Monachil por el extremo oriental.

En la zona de Padul hay áreas pantanosas que fueron drenadas artificialmente a finales del siglo

XVIII. Según GALLEGOS 1975, se trata de una fosa tectónica subsidente, colmatada por materiales Postorogénicos de naturaleza detrítica.

Las aguas que vierten en esa zona son de diversa procedencia por lo que las características químicas varían sensiblemente. Castillo 1985, diferencia las aguas que acceden a la Depresión desde los bordes o proceden de la zona centro, en la forma siguiente:

Acuíferos de los bordes: 1) Acuíferos carbonatados del borde norte, cuyas aguas son bicarbonatadas calcicomagnésicas; el caudal de estos acuíferos es elevado y llega a los 350 l/s. 2) Acuífero conglomerático plioceno, con un caudal de unos 80 l/s y de peor calidad que el anterior. 3) Acuíferos conglomeráticos y calcarenitas del borde O, que dan lugar a unos acuíferos cuyas salidas suponen más de 100 l/s.

Acuíferos de la zona centro: Las aguas circulantes al entrar en contacto con la turba se alteran, diferenciando, según CASTILLO et al. 1986, los siguientes acuíferos: 1) Aguas de circulación subterránea confinada que proceden de los niveles arcillo-turbosos. 2) Aguas de escorrentía de las turbas, sulfhídricas y con alto contenido en sales. 3) Aguas de los canales de drenaje que llegan por todas las emergencias y en su recorrido, a través la turbera, sufren diferentes alteraciones, de manera que aguas abajo son magnésicas y con nítridos, por tanto no potables. 4) Aguas lagunares con alta salinidad, que CASTILLO 1985 define como sulfatadas-magnésicas.

II. FACTORES FORMADORES

II.1. RELIEVE

El doble proceso morfológico de erosión-sedimentación es manifiesto en el área que nos ocupa y llega a generar suelos complejos, policíclicos, que tienen estrecha relación con la litología y los relieves circundantes.

La caracterización del relieve se hace subdividiendo el terreno en 6 clases, según pendiente, manteniendo las directrices de FAO 1977, agrupándolas después en cuatro unidades: estribaciones de Sierra Nevada (clase 5 y 6); piedemonte (clase 4); zonas intermedias (clase 3) y vegas (clases 1 y 2).

El área más abrupta corresponde a la cara oeste de Sierra Nevada con su cota más alta a 1784 m; se extiende, además, por los alrededores de La Zubia, Cabra Montes y el Chaparral en el límite sur de la hoja.

El piedemonte lo componen conos de deyección y abanicos aluviales. Estos últimos consecuencia de la unión brusca de las laderas montañosas y las tierras bajas, que provocan, con la rotura de pendiente, pérdida de la capacidad de arrastre por las aguas de escorrentía, quedando la carga depositada, parcial o totalmente, en el lecho y da lugar a largos frentes, como el que rodea a Dílar que llega hasta las inmediaciones de La Zubia. La morfología de estas unidades aparece alterada, en muchas zonas, como consecuencia de la intensa acción antrópica.

Las Vegas, depósitos aluviales recientes, alcanzan su máxima expansión en el contacto con la hoja de Granada, penetrando más profundamente por los llanos de Armilla. Es la zona con mayor densidad demográfica de todo el entorno.

II. 2. CLIMATOLOGÍA

El clima condiciona en todo lugar la geomorfología y ordena la distribución de suelos, vegetación y fauna (REITAN et al. 1967).

Para el estudio de este factor contamos con poca información, debido al escaso número de estaciones meteorológicas y su distribución no homogénea. Las estaciones consultadas son 8, ubicadas 3 de ellas al norte, otras 3 al sur y las 2 últimas en el centro del área. Las estaciones del sur están muy próximas entre sí, por cuya causa quedan amplias zonas del área meridional sin cubrir. Sólo hay dos estaciones termopluviométricas, situadas una al sur y otra al norte, respectivamente.

La insuficiencia de datos nos lleva a consultar estaciones limítrofes, como son las del Aguadero de Dúrcal y Nigüelas, ambas termopluviométricas.

Para soslayar el déficit informativo del sector este, con una altitud media superior a la del resto de la zona, hemos consultado los datos termométricos de la estación de Navachica.

Respecto a los antecedentes de estudios climáticos en la comarca, hay que destacar los trabajos de BOSQUE (1957), SIERRA (1971), CAPEL (1974), CEREZUELA (1977), INIA (1977), CAPEL el al. (1978), FRONTANA (1979), UTRABO (1979), BENAVENTE (1982 Y 1984), ORTEGA et al. (1983).

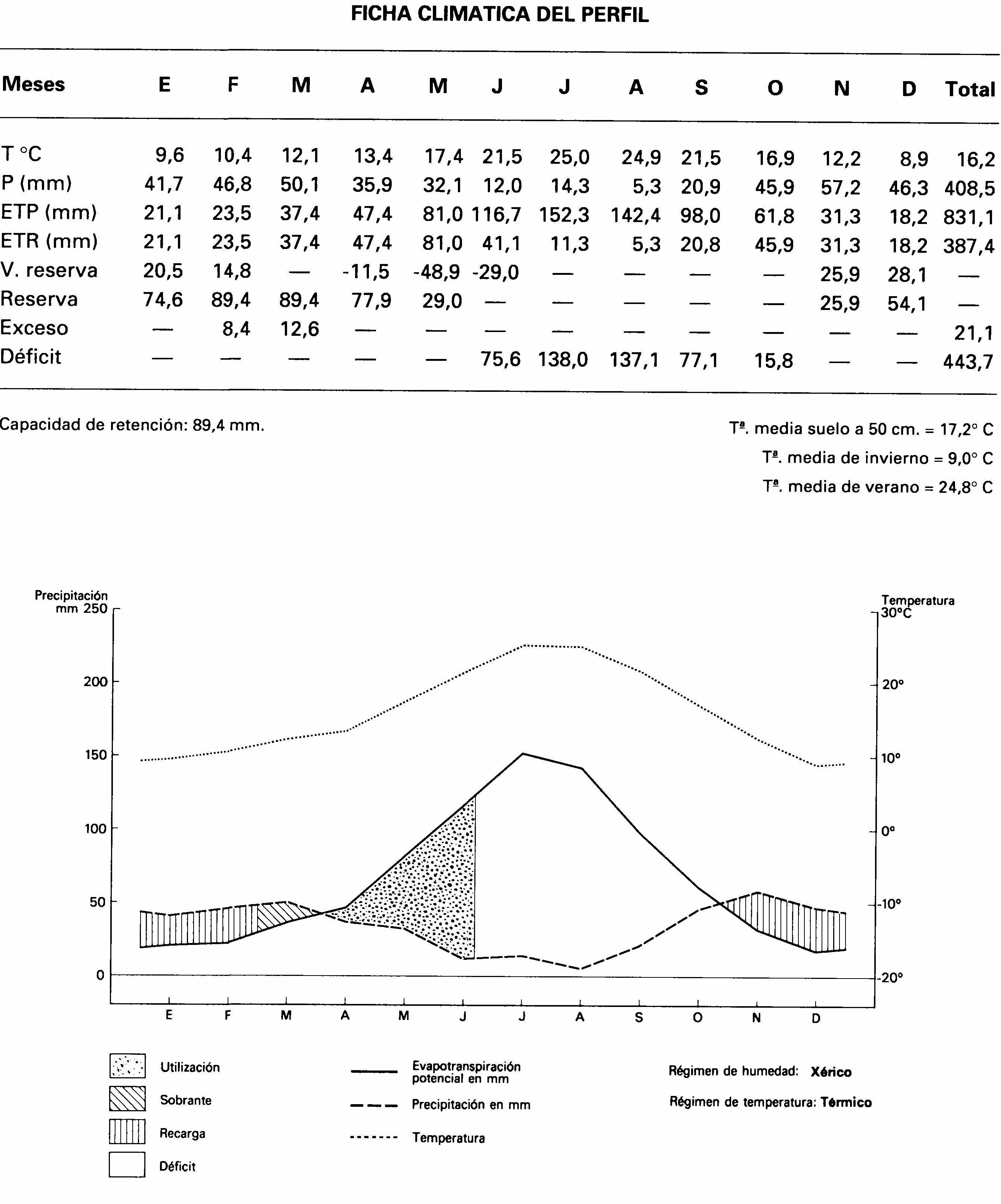
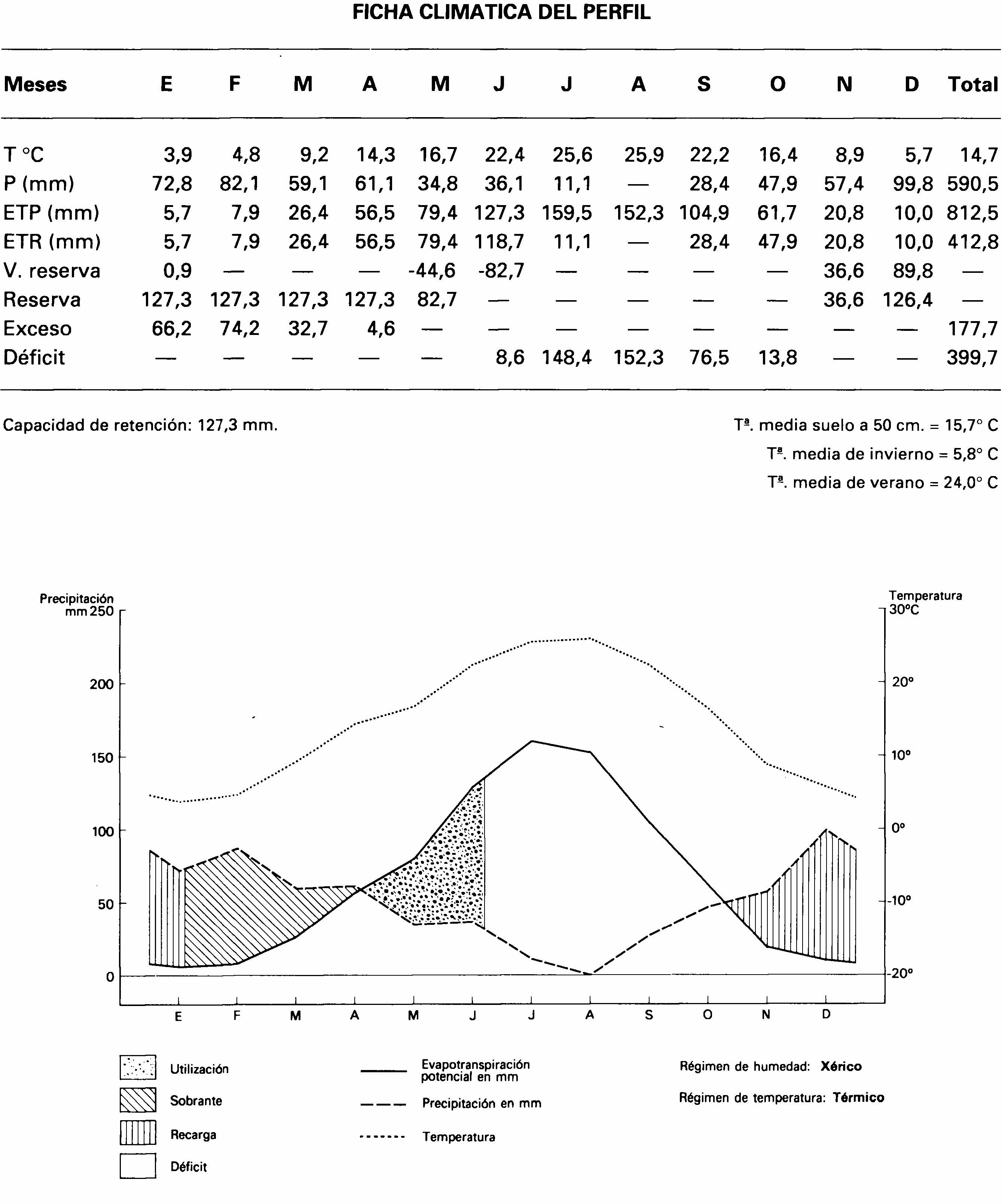
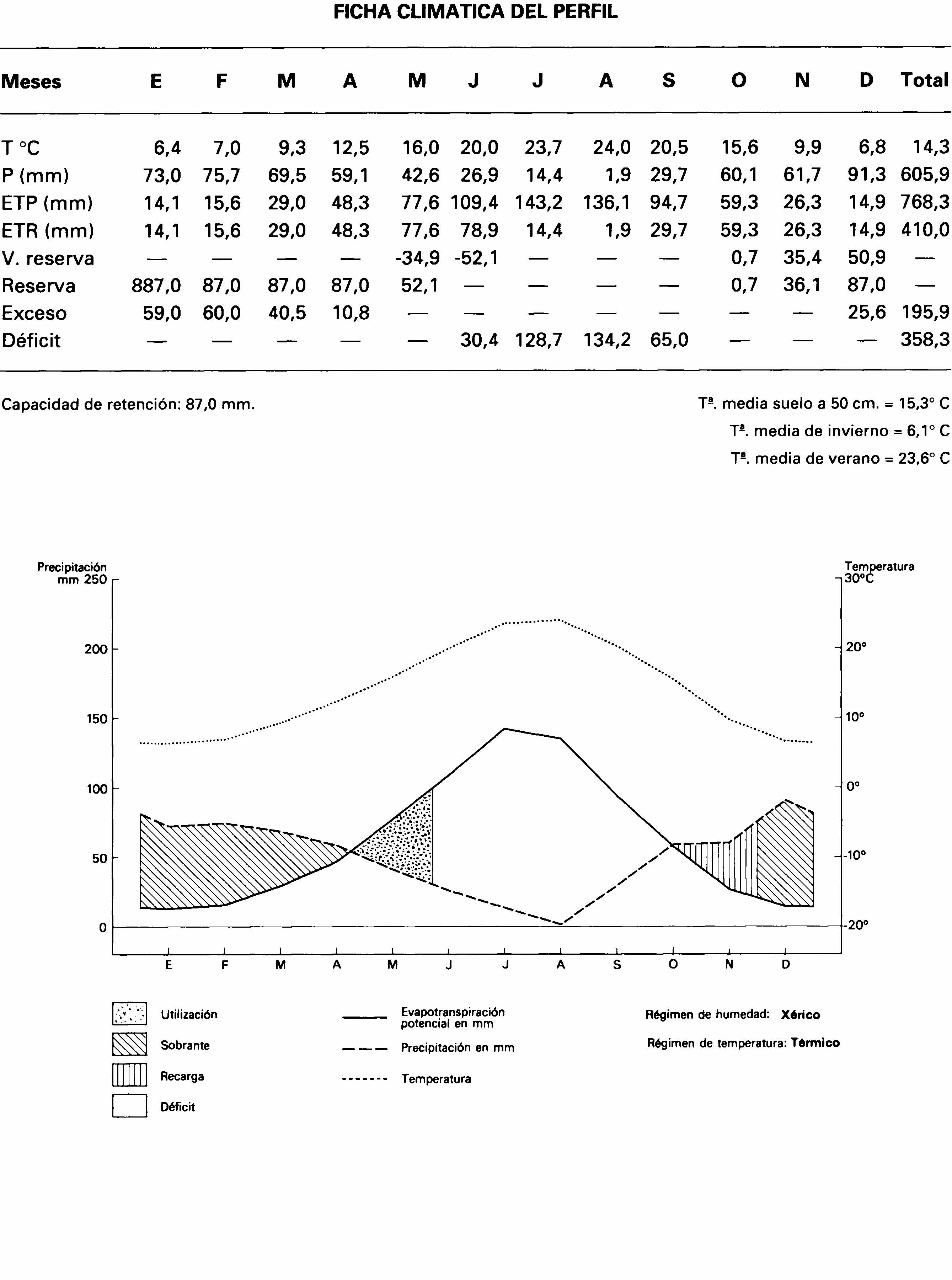
Los datos básicos para la realización del estudio climático, proceden del Servicio de Hidrología de la CASE (Málaga) y de los Boletines Climáticos del SNM. La tabla núm. 1 recoge algunas de las características de las estaciones meteorológicas consultadas.

Precipitaciones

La distribución de las precipitaciones durante el final del solsticio de otoño y el de invierno favorecen el almacenaje de agua en el suelo. La ausencia de precipitaciones en el período estival así como la elevada evapotranspiración potencial, consecuencia del efecto combinado de la falta de lluvia y las elevadas temperaturas, provocan un profundo déficit de agua edáfica que se refleja en la vegetación y uso del suelo.

FANIRAN et al. (1978), adaptan los criterios de BUNTING (1965) y utilizan la relación P/ETP para mostrar el estado hídrico de los suelos, como función de un balance entre las ganancias por agua de lluvia y las pérdidas por evapotranspiración. Tabla núm. 2. (Relaciones expresadas en mm).

ASENSIO (1991) aplica el criterio de FANIRAN para los suelos de la hoja y describe una serie de tipos climáticos que van de moderadamente áridos, salvo enclaves situados por encima de los 1.200 m donde pasan a húmedos, a moderadamente húmedos, entre esa cota y la de los 900 m.

Según PAPADAKIS (1980), en la zona se pueden reconocer los siguientes tipos climáticos: Mediterráneo templado y Mediterráneo Continental.

En la tabla nº 3, se muestran los datos pluviométricos mensuales y anuales (mm) de cada una de las estaciones consultadas.

Los datos de precipitación anual son respectivamente: 402, 665, 571, 478, 480, 624, 454, 501, 542 y 461.

El tratamiento de los datos no ha llevado al establecimiento de ecuaciones matemáticas tipo:

y = aX + bY + cZ + d

En la tabla núm. 4 se indican las ecuaciones respectivas que rigen cada mes del año. Las variables X, Y y Z, se corresponden, respectivamente, con las coordenadas de altitud, latitud y longitud.

En cuanto a los coeficientes de correlación, así como a los errores standard, hay que hacer una serie de anotaciones. Las correlaciones más bajas se dan en los meses de verano, fundamentalmente en julio, hecho que se explica porque las precipitaciones son prácticamente inexistentes durante el solsticio de verano y las posibles tormentas perturban la concordancia de datos.

En la tabla núm. 5 se indican coeficientes y errores para cada ecuación de correlación mensual.

Temperatura

La influencia de la temperatura sobre la dinámica de la materia orgánica del suelo es clara, ya que el incremento térmico favorece la descomposición orgánica por aumento de la actividad microbiana o por mineralización, dependiendo del gradiente; las bajas temperaturas ralentizan esta actividad, acumulándose la materia orgánica poco transformada que da unas características especiales a los suelos donde esto ocurre.

En nuestra zona, la distribución estacional de las temperaturas marca dos períodos muy contrastados: uno corresponde al invierno, donde las temperaturas son bajas y hay exceso de agua en el suelo, mientras que el otro, propio del verano, presenta altas temperaturas y un prolongado déficit de agua en el suelo. Esto incide en el desarrollo de la vegetación que soporta esas oscilaciones. Tabla núm. 6

Los datos de temperatura media anual son respectivamente: 15,3; 15,9; 15,2; 14,1; 15,8 y 8,3° C.

El tratamiento de los datos, de igual forma que en el caso de las precipitaciones, lleva a ecuaciones de tipo:

Y’ = a’X + b’X = c'Z = d’

En la tabla núm. 7, se indican las ecuaciones que rigen cada mes del año, correspondiendo las variables X, Y, Z, respectivamente, a las coordenadas de altitud, latitud y longitud.

En cuanto a coeficientes de correlación y errores standard, indican correlaciones muy buenas; el coeficiente de correlación múltiple más bajo está entorno a 0,90, por otra parte, las buenas correlaciones son refrendadas por un máximo error standard de 1,13%. Hay que hacer notar que la fiabilidad (mínimo error y máximo coeficiente de correlación) es mayor en los solsticios de primavera y otoño, frente a los de valores extremos de temperaturas (verano e invierno). Esto responde a la relativa estabilidad de las temperaturas en primavera y a la inestabilidad, de unos meses respecto de otros, en los períodos estivales. Un caso análogo se da en otoño e invierno.

En la tabla núm. 8, se indican coeficientes y errores para cada ecuación de correlación mensual.

II. 3. VEGETACIÓN

El reflejo de la climatología en el paisaje es a través de la cubierta vegetal. La vegetación natural es así un elemento formal del paisaje y familiar el más fácilmente modificable por el hombre de los que constituyen el medio físico.

La hoja de Padul, según RIVAS MARTÍNEZ et al. 1987, está incluida en la provincia Corológica Bética y dentro de ella en el sector Malacitano-Almijariense, si bien se aprecian matices propios del subsector Nevadense en el borde oriental.

Dada la escasa altitud del área, la vegetación queda incluida en el piso mesomediterráneo y sólo puntualmente, en las cotas más altas, se llega al piso supramediterráneo. El límite entre ambos viene dado por la desaparición de especies como el olivo, esparto, etc.

La comunidad climácica (Paeonium-Quercetum rotundifoliae) sólo se conserva aisladamente, reconociéndose el domino potencial por las comunidades seriales. La primera etapa de sustitución está constituida por un piornal de leguminosas nanofanerofíticas (Retamum-Genistetum speciosae). El pastizal vivaz está representado por el espartal bético (Thimo-Stipetum tenacissimae), dando paso, por degradación del suelo al tomillar (Thimo-Lavanduletum lanatae). Las comunidades terofíticas climatófilas o nitrófilas, están representadas por las asociaciones: Erophilo-Hornungietum petraeae y Filago-Stipetum capaensis. Las comunidades nitrófilas son frecuentes destacando la clase Ruderali-Secalientea. En los suelos húmedos aparece un fenalar (Elymu-Brachypodietum phoenicoidis) que en los más compactos es sustituido por gramas. (LÓPEZ NIETO 1989)

La vegetación climax no es uniforme en toda la superficie porque los suelos introducen importantes variaciones. Así, la basicidad de los suelos de la vega condiciona el dominio de la subasociación Paeonio-Quercetum Rodundifolieae tipicum. La vegetación acuática y edafohidrófila destaca por el establecimiento de una cadena teórica de series riparias o hidróficas, en función del distanciamiento de los cauces. Estas series, según LÓPEZ NIETO 1989, son las siguientes:

― Del sauce de hoja estrecha (Salix Eleagnos angustifolia): Saliceto triandro-angustifoliae sigmetum.

La del álamo blanco (Populus alba): Rubio tinctoriae-Populeto albae sigmentum.
La del olmo (Ulmus minor): Aro italici-Ulmeto minoris sigmetum.

La catena natural del curso medio del Genil debió contar de tarayares con sauces de porte medio, formando una banda, más o menos continua, respecto de las choperas; éstas últimas contactarían con los olmos donde los suelos son profundos con seudogley, mientras que olmos y zarzales se acercan a los encinares o quejigares cuando los suelos son más xéricos.

La disposición de las comunidades acuáticas permanentes de la Depresión del Padul es compleja, distinguiéndose tanto comunidades enraizadas (Hidrostation) como no enraizadas (Pleón).

Respecto a las comunidades heliófilas del borde oeste, cabe destacar que presentan una estructura externa y anatómica condicionada por el hábitat, siendo frecuentes las formas xerofíticas, debido al régimen de humedad y temperatura de los suelos y al contenido en sales solubles, ya que es, a veces, inapropiada el agua edáfica para las plantas, debido al incremento de presión osmótica de la solución del suelo.

Hay que destacar la inexistencia del estrato arbóreo, mientras que los arbustivos están representados por Arthrocnemum fruticosum y Suaeda fruticosa; en el estrato herbáceo observamos especies anuales como Suaeda maritima, Aira sp., etc. y vivaces como Limonium ovalifolium, L. delicatum, etc.

Frente a esta vegetación francamente halófila (SIMON 1978), hay otra gipsícola que marca el cambio de territorio florístico (PÉREZ RAYA 1982), hoy muy diezmada debido a la acción antropozoógena, que este autor define como integrante, en nuestra zona, de la alianza Lepidion subulati (BELLOT 1952) BELLOT & RIVAS GODAY in RIVAS GODAY 1956, señalando que posiblemente se trate de una nueva comunidad denominándola provisionalmente como: Helianthemo-Ononidetum tridentati, que establece el límite meridional de la alianza.

En cuanto a usos agrícolas y aprovechamientos son de destacar las zonas con regadío de los términos de Armilla, Cájar, Cúllar, Churriana de la Vega, Ojíjares, La Zubia y Padul, donde se cultivan hortalizas y especies de secano como olivos y cereales.

Existen amplias extensiones repobladas con pinos, repoblaciones que han creado grandes bosques que se erigen como masas forestales importantes allí donde la falta de suelo ha impedido la roturación. Dominan especies como el pino carrasco (P. halepensis) en los términos de Cenes, Dílar y Padul, mientras que en Dúrcal el pino dominante es el negral (P. pinaster) y es mixta en los términos de Monachil y Zubia.

Por último hay que indicar la existencia de dos zonas que se encuentran dentro del Plan Especial de Protección del Medio Físico: Sierra del Manar (Complejo Serrano de Interés Ambiental) y los pinares de La Zubia (Espacio Forestal de Interés Recreativo).

II. 4. GEOLOGÍA

La hoja del Padul se encuentra enclavada dentro del dominio Bético. En ella afloran materiales paleozoicos y triásicos que se encuentran afectados por la tectónica alpina así como materiales Postorogénicos pertenecientes al neógeno y cuaternario, que a su vez están dislocados por la neotectónica.

CONJUNTO ALPUJARRIDE

En el borde este de la hoja, así como en una franja del sector sur, afloran los materiales alpujárrides, caracterizados por la predominancia de calizas, calizo-dolomías y mármoles kakiritizados, siendo escasos los afloramientos de filitas y micaesquistos. Esta litología confiere a la zona un relieve característico.

El IGME (1980) diferencia tres unidades litoestratigráficas:

  1. Formación de metapelitas y micaesquistos grafitosos con intercalaciones cuarcíticas, que ocupa la posición más baja: está representada solamente en el manto de Fuente Piedra (GALLEGOS, J.A., 1975), dando lugar a la formación de isleos tectónicos. En el Puntal (al noroeste del Padul) afloran los micaesquistos.

  2. Formación de metapelitas menos metamorfizadas (filitas) con intercalaciones cuarcíticas y de rocas proelásticas: se localiza en los mantos de las Víboras, Trevenque y Fuente Piedra, pero con potencias muy exiguas.

  3. Formación de calizas y dolomías: que constituye la parte superior y son las que afloran de manera más extensa en esta hoja, presentando ciertas diferencias según el manto al que correspondan (GALLEGOS, 1975).

En el manto de las Víboras afloran calcosesquistos y calizas con bajo grado de recristalización y buena estratificación, llegando a ser tableadas. Presentan algunos restos fósiles difícilmente clasificables (foraminíferos y algas principalmente).

En el manto del Trevenque se observan dolomías muy fracturadas y con mala estratificación. Según GALLEGOS (1975) la potencia de esta formación alcanza aproximadamente 1000 m en la zona del Cucurucho de Nigüelas. En la base de esta formación existe un tramo de calcoesquistos y en algunas zonas se observan yesos asociados a las calizas.

El manto de Fuente Piedra se encuentra representado en la hoja por el isleo tectónico del Puntal y es de escasa dimensión.

Todos los materiales del conjunto alpujárride sufrieron procesos más o menos intensos de metamorfismo durante la tectónica alpina, siendo más elevados cuanto más antigua es la roca.

MATERIALES POSTOROGÉNICOS

Según el IGME (1980) estos materiales corresponden en su mayor parte al mioceno, existiendo otros más recientes. Se presentan de forma discordante sobre los materiales alpujárrides, originando el relleno de las cuencas intramontañosas de Granada y Lecrín. Las deformaciones que presentan se deben a procesos posteriores al ciclo alpino, dentro de lo que se denomina neotectónica.

Se diferencian dos tipos de materiales: los neógenos y los cuaternarios.

Neógeno

Dentro de los materiales neógenos los mencionados autores diferencian las siguientes unidades:

  1. Calizas, margocalizas lacustres y depósitos de celestina: se localizan en los alrededores de Montevives.

  2. Calcarenitas bioclásticas: afloran en una banda que se extiende desde el Padul hasta Agrón. Puntualmente existen restos fósiles de arrecifes coralinos.

  1. Limos, areniscas y arcillas con yeso: son los materiales más ampliamente representados en la hoja, siendo más abundantes los limos, mientras que el yeso se hace presente en el sector de La Malá-Escúzar-proximidades de Argón. En la base de estos materiales, aparecen formaciones de origen marino.

  2. Calizas, margocalizas y limos lacustres: se trata de calizas lacustres con gasterópodos. Aparecen en puntos muy concretos (proximidades de Agrón, Escúzar, Ventas de Huelma).

  3. Conglomerados heterométricos con arenas: se localizan a lo largo del borde de Sierra Nevada. Son denominados por FONTBOTÉ et al (1980) como formación de Pinos Genil. Se trata de unos conglomerados heterométricos que alcanzan potencias considerables (decenas de metros) y están constituidos por bloques angulosos de gneises, esquistos, micaesquistos y algunas calizas, por lo que recibe también el nombre de “Bolck formation”.

  4. Conglomerados de Moraleda de Zafayona: aparecen discordantes sobre las calizas y limos. Están mal representados en esta zona, se les atribuye una edad plio-cuaternaria.

Cuaternario

El cuaternario está definido por:

  1. Conglomerados de La Alhambra: se localizan al noroeste de la hoja. Esta potente formación tiene algunos niveles de arenisca y en conjunto presenta unas tonalidades rojizas.

  2. Los depósitos de pie de monte: están situados en el borde de Sierra Nevada. El mayor cono de deyección se encuentra en La Zubia y sobre él se desarrollan costras de tipo “caliche”.

  3. Conglomerado de Alhendín: según GONZÁLEZ DONOSO (1967), es posible que sea equivalente al de Moraleda de Zafayona, pero no existen argumentos para establecer la diferencia.

  4. Las turbas: se ubican en la fosa tectónica del Padul y alcanzan una potencia próxima a los 1000 m.

5. Los materiales aluviales: se localizan en los cauces de los ríos que atraviesan la zona.

Tectónica

En cuanto a los procesos tectónicos acaecidos en la zona podemos diferenciar dos etapas: la tectónica Alpina y la Neotectónica.

La primera se caracteriza por originar una estructura en mantos de corrimiento. Como se indicó anteriormente se pueden diferenciar tres mantos: Víboras, Trevenque y Fuente Piedra, cuya vergencia según GALLEGOS (1975) es hacia el Norte.

Desde el Neógeno hasta la actualidad los materiales han sido afectados, según SANZ DE GALDEANO (1978), por una tectónica más reciente (neotectónica). Para detectar estos movimientos hay que recurrir en algunas ocasiones a criterios estratigráficos; así explica DONOSO (1967) los cambios de potencia de los materiales miocénicos, o la posición discordante de estos y de los que conforman la “Block Formation” (Formación Pinos Genil), sobre los limos, areniscas y conglomerados miocenos.

Geomorfología

Los diferentes sistemas de fallas son los responsables más inmediatos de la geomorfología de la zona, que determinan una serie de bloque elevados y de fosas tectónicas.

En la superficie de falla que se extiende desde Padul hasta Nigüelas, se observan “facetas triangulares”, resultado de procesos erosivos en la mencionada superficie. Los abanicos aluviales se localizan a lo largo del bloque hundido, producto de la acumulación de materiales arrastrados por regímenes torrenciales. En aquellos puntos en los que se conserva el espejo de falla, aparecen en él juegos de estrías.

Una nota dominante es la cubierta de kakiritas, procedentes del dinamometamorfismo sufrido por las dolomías afectadas por la falla. Su actividad sigue patente en nuestros días según muestran las fracturas de los depósitos cuaternarios que la fosilizan.

Por otra parte, estas dolomías en virtud de los procesos de disolución diferencial, originan en diversos puntos relieves de tipo ruiniforme más o menos desarrollado.

Es de resaltar la fosa tectónica del Padul delimitada por las fallas normales del borde de Sierra Nevada y las antitéticas a las mismas, que dan lugar a la formación de una cuenca endorreica donde se instalan las turberas.

Otro rasgo geomorfológico de interés lo constituyen los depósitos cuaternarios procedentes de los contrastados relieves del sector central y oriental de la hoja. Estos depósitos dan lugar a la formación del glacis que se extiende al pie de la Silleta del Manar y en la zona de La Zubia Alhendín.

Cuaternario

Conjunto alpujárride:

A los materiales carbonatados de este conjunto se les asigna una edad triásica (Trías mediosuperior), por comparación con otras unidades que han podido ser datadas mediante fósiles. Las filitas y cuarcitas, por su posición, se supone que pertenecen al triásico inferior, mientras que, según GALLEGOS (1975), los materiales originarios (metapelitas) pueden corresponder al paleozoico.

Los materiales neógenos y cuaternarios se encuentran en posición discordante sobre los mantos alpujárrides, dedicamos especial atención a los limos, areniscas y arcillas con yeso, por aflorar en una extensa área de la hoja estudiada.

En el depósito de estos materiales cabe establecer las siguientes fases: Tras la formación de la zona central de la Depresión de Granada, tiene lugar una transgresión marina con el consiguiente depósito de materiales, reconocidos por GONZÁLEZ DONOSO (1968) como “subtramos”. A continuación tienen lugar movimientos relativos que originan la formación de dos subcuencas, una al Norte y otra al Sur de la depresión. A la subcuenca norte, van a llegar materiales procedentes del gran macizo montañoso que está emergiendo y que va a dar lugar a la formación de Sierra Nevada, lo que origina un aporte masivo de materiales. A la vez, esta subcuenca queda aislada intermitentemente del mar abierto, a modo de “lagoom”, razón por la cual la salinidad aumenta de forma paulatina, hecho que posiblemente viene favorecido por el régimen climático. El aumento de salinidad da lugar al depósito de evaporitas en esta subcuenca, mientras que los aportes masivos de material areniscoso provocan una serie de corrientes de tubidez, responsables de las marcas que hoy aparecen en el muro de los estratos (marcas de corriente, de carga, etc.), algunas de ellas indicadoras del sentido de las corrientes que produjeron estas aportaciones y que confirman la procedencia del área de Sierra Nevada (DABRIO, C.J. et al. 1972).

III.
MATERIAL Y MÉTODOS
III.
1. CARTOGRAFÍA

El estudio cartográfico se realizó sobre foto aérea, escala 1:18.000 del CETFA (1977), por medio de un estereoscopio de espejos ODSS III, de acuerdo con los criterios de CARROLL (1973), CARROLL et al. (1977) y WHITE (1977).

Con objeto de obtener el mapa de suelos tentativo, se pasó al mapa de base 1:50.000 del Servicio Topográfico Nacional 1978-1980, mapa que nos sirvió para establecer los itinerarios y conocer con bastante exactitud la morfología de los suelos del área a estudiar, las relaciones que existen entre los perfiles de estos suelos y su posición en el paisaje. El análisis de la información obtenida en el campo y su correlación con el aspecto observado en la fotografía aérea fueron las bases sobre las que se desarrolló la labor cartográfica.

Finalmente, una vez comprobados los datos de campo, laboratorio y fotointerpretación, se levantó el mapa 1:100.000, objetivo último del presente trabajo.

A continuación se realizó una recopilación de los datos climáticos correspondientes a las estaciones existentes en la zona. Los datos se recogieron de los Boletines mensuales del Servicio Meteorológico Nacional del Ministerio del Aire. El procesado de los datos obtenidos se realizó mediante la utilización de un ordenador personal Amstrad CPC 6.128 con impresora DPM 4.000.

Hay que hacer constar que el Mapa de Suelos presentado se levantó en base a los datos de fotointerpretación con control de campo. La unidad taxonómica citada en primer lugar es, de las dadas a nivel de asociación, la primera en orden alfabético, las restantes se definen en barras coloreadas horizontales (el porcentaje de estos suelos supera siempre el 20% del total de la superficie); los suelos dados a nivel de inclusión (extensión superior a! 5 por 100 del total de la superficie) se definen igualmente por barras coloreadas específicamente, pero dispuestas verticalmente.

Para la clasificación de los suelos se han seguido las claves FAO-UNESCO, 1981; finalmente se relacionan con la SOIL TAXONOMY (1975).

III. 2. TRABAJO DE CAMPO

Se levantaron un total de 16 perfiles, distribuidos de forma uniforme por toda la zona. Estos perfiles se describieron y muestrearon de acuerdo con las normas propuestas por la FAO (1977), en su Guía para la Descripción de Perfiles de Suelos, haciendo hincapié en las características del terreno: pendiente, altitud, vegetación, clima, litología, drenaje, humedad, profundidad del manto freático y de las raíces, pedregosidad y afloramientos rocosos, erosión y sus tipos, antropización, profundidad del “solum”, textura, estructura, consistencia, etc. El color se da con las Soil Charts Munsell (1958).

III. 3. TRABAJO DE LABORATORIO

La preparación de las muestras para los estudios de laboratorio se han realizado:

Extensión de las muestras sobre papel y secado al aire.
Selección de algunos agregados para el estudio de propiedades físicas.
Molienda y tamizado a 2 mm.
Peso de todas las fracciones resultantes.

Análisis granulométrico

Se trataron las muestras con agua oxigenada para la destrucción de la materia orgánica.

Para prevenir una mala dispersión se sometieron a lavado de sales por diálisis en una membrana semiimpermeable (papel celofán) y corriente de agua.

La fracción arena se determinó por tamizado en húmedo y posterior separación en subfracciones por tamizado en seco.

La arcilla y el limo se separaron por sedimentación y se siguió el método de la pipeta de Robinson, tal como se describe en el Soil Survey Report, núm. 1. Soil Conservation Service, (1972).

pH

Se determinó sobre una suspensión de tierra fina en agua en relación 1:1, con ayuda de un Phmetro con electrodo de vidrio.

Carbono orgánico

La técnica empleada es la de TYURIN, (1951), de oxidación de la materia orgánica en dicromato potásico en medio ácido y posterior valoración del exceso con sal de Mohr 0,1 N.

Las cantidades de suelo utilizadas, varían de acuerdo con el tipo de horizonte que se pretenda analizar.

Nitrógeno total

Mineralización del nitrógeno en caliente con ácido sulfúrico y una mezcla de sulfato ferroso, sulfato potásico y selenio metal, como catalizador. La valoración se realizó en un aparato de destilación Bouat Micro Kjeldahl, con sulfúrico diluido. Métodos Oficiales de Análisis del Ministerio de Agricultura (1971).

Fósforo asimilable

Se siguió el método de extracción con acido acético amónico y formación de un complejo fosfomolíbdico, con el empleo de una solución de amidol y lectura en fotocolorímetro a una longitud de onda de 820 nm, según metodología de OLSEN. Métodos Oficiales de Análisis del Ministerio de Agricultura (1971).

El resultado expresado en ppm se obtiene por interpolación en la curva patrón establecida, entre cantidades de P2O5 y la medida de absorbencia.

Potasio asimilable

Se extrajo con una solución de acetato amónico (pH=7) y posterior valoración por fotometría de llama. Métodos Oficiales de Análisis del Ministerio de Agricultura (1971).

Carbonatos

La determinación de carbonatos se realizó por volumetría de gases. La corrección de presión y temperatura se hicieron con ayuda de carbonato cálcico puro. Métodos Oficiales de Análisis del Ministerio de Agricultura (1971).

Capacidad y bases de cambio

Se determinaron sobre la misma muestra y de forma sucesiva, con los siguientes pasos:

Lixiviación del suelo con acetato amónico (1N y pH = 7) en una columna y utilizando como obturador lana de vidrio. En el lixiviado se determinaron las bases de cambio: sodio y potasio por fotometría de llama, magnesio y calcio por absorción atómica (Soil Conservation Service USDA, 1972).
Lavado con alcohol y saturación del complejo de cambio con sodio por lixiviación con acetato sódico (1N y pH = 8,2).
Lavado con alcohol y desplazamiento del sodio del complejo de cambio con acetato amónico (1N y pH = 7). La capacidad de cambio de determinó con la valoración de sodio en el lixiviado por fotometría de llama (RICHARDS, 1954).

Densidad aparente

Para el cálculo de la densidad aparente se ha empleado la ecuación de regresión múltiple, obtenida por SANTOS (1979) y que se expresa a continuación:

D.A. = 1,5456 + 0,0015 X (% arena) - 0,0022 X (% arcilla) - 0,1219 X (% carbono orgánico)

Retención de agua a 1/3 y 15 atmósferas

Se utilizó el método de la membrana de RICHARDS (1954), para la tierra fina.

Agua utilizable por las plantas

Se calcula a partir de los pF a 1/3 y a 15 atmósferas, la densidad aparente y la profundidad en dm de los horizontes considerados hasta donde llegan las raíces. Para ello se emplea la fórmula de HENINetal. (1972).

Au = (% H 1/3 at - % H 15 at) x D.A. x Prof, (dm)
H = Humedad del suelo
D.A. = Densidad aparente

Conductividad del extracto de saturación

La pasta del suelo saturado se preparó siguiendo las indicaciones de ALLISON (1973). La conductividad de los extractos se midió con el conductímetro “Solubridge” Beckman, provisto de célula de conductividad G-O, 5x2.

IV. UNIDADES TAXONÓMICAS

HISTOSOLES

Son suelos con elevado contenido en materiales orgánicos que conforman horizontes de tipo H (hísticos) o de tipo O, de 40 o más cm de profundidad.

La génesis está favorecida por el encharcamiento del medio físico, creando condiciones anaerobias que ralentizan la descomposición de los materiales orgánicos depositados, conservando su estructura.

Se puede afirmar que la turbera se formó en un antiguo lago que se ha ido desecando y es drenado artificialmente, rellenándose de materiales orgánicos. La evolución queda así ligada a la colonización de la cuenca endorreica por plantas sumergidas, en una primera etapa, para posteriormente implantarse una secuencia vegetal flotante que desarrolla en las orillas y progresivamente la invaden, contribuyendo con sus restos a la elevación del fondo del lago. Las especies observadas son juncos, cañas, etc.

Los Histosoles de la Depresión de Padul ocupan la denominada turbera del Padul, cartografiándose dos unidades: Histosoles fíbricos, aquellos que poseen materiales poco descompuestos, con elevado contenido de fibras reconocibles dentro de los 35 cm superficiales y están mal drenados. La otra unidad es de Histosoles térricos, ocupantes de los bordes de la unidad cartográfica y con menor porcentaje de fibras reconocibles dentro de los 35 cm.

Son suelos orgánicos muy potentes y oscuros, entre franco arenosos y franco limosos, con un contenido de macronutrientes irregular y por lo general bajo, salvo en los horizontes menos ácidos o básicos.

La presencia de carbonatos varía igualmente con los horizontes, siendo normal que los más ácidos no efervezcan frente al clorhídrico diluido. Su origen se relaciona con aportes puntuales de los sistemas montañosos circundantes, que se manifiestan a su vez por la presencia de gravas. El papel de los carbonatos en el suelo es importante en cuanto que incide, tanto sobre el pH como en el grado de saturación y el tipo de bases que saturan el complejo de cambio: calcio y magnesio marcan el dominio, pero incrementados los primeros, también es significativo el porcentaje de sodio de cambio.

La conductividad es moderada, lo que indica cierta concentración de sales, que según la bibliografía, deben ser sulfatos y cloruros magnésicos y sódicos, respectivamente, concentración que hay que achacar al mal drenaje de los suelos y a la naturaleza del material subyacente y circundante.

El régimen de humedad es aquico, si no es drenado artificialmente, y pasa a xérico cuando es manipulado por el hombre para explotación de la turbera.

En la Soil Taxonomy (1975) como no hay contacto lítico dentro de los 100 cm superficiales, y no tienen horizonte fíbrico hay que clasificarlos dentro del orden de los Histosoles, en el suborden Saprist, asignándolos al subgrupo de los Medisaprists, por carecer de régimen de temperatura cryico y por existir fluctuaciones en las medias estivales e invernales de más de 5o C.

Los dos Histosoles modales son: Medisaprist térrico-fíbrico y Medisaprist fluvaquentico.

PERFIL NUM. 1026-2

CARACTERÍSTICAS MACROMORFOLOGICAS

Fecha de observación: 28 de marzo de 1990.
Localización: Entre la Fuente de la Higuera y la del Tío Miguel.
Coordenadas: U.T.M.: 4.459-40.974.
Altitud: 740 m.
Posición fisiográfica: Depresión.
Topografía circundante: Colinada y montañosa, al N.
Pendiente: Casi llano.
Vegetación o uso: Cereales y regadíos.
Material original: Material aluvial.
Drenaje: Escasamente drenado.
Condiciones de humedad: Humedad a los 5 cm.
Profundidad de la capa freática: 1 m.
Pedregosidad: Muy pocos.
Afloramientos rocosos: Ninguno.
Erosión: Antrópica.
Influencia humana: Nula.
Clasificación: Histosol térrico (F.A.O). Medisaprist térrico-fíbrico (USDA).

Hor. Prof. cm. Descripción

H1 0-15 Pardo grisáceo muy oscuro (10YR 3/2) en húmedo y pardo grisáceo oscuro (10YR 4/2) en seco. Textura franco arenosa. Estructura granular mediana a fina. Ligeramente adherente; ligeramente plástico; muy friable en húmedo y blando en seco. Frecuentes piedras tamaño grava, dolomíticas, poco alteradas. Fuertemente carbonatado. Abundantes raíces medianas y finas. Frecuentes lombrices. Límite neto y plano con el horizonte subyacente.

H2 15-35/45 Gris muy oscuro (10YR 3/1) en húmedo y gris (10YR 5/1) en seco. Textura franco arenosa. Estructura granular mediana a gruesa. Ligeramente adherente; ligeramente plástico; muy friable en húmedo y blando en seco. Abundantes gravas de idéntica naturaleza que en el horizonte anterior, pero más redondeadas. Fuertemente calcáreo. Abundantes raíces finas y alguna mediana. Frecuentes lombrices. Límite brusco y ondulado con el horizonte subyacente.

C 1 35/45-52 Pardo grisáceo oscuro a pardo grisáceo muy oscuro (10YR 3,5/2) en húmedo y gris parduzco claro (10YR 6/2) en seco. Textura franco arenosa. Estructura en bloques subangulares, mediana. Ligeramente adherente; ligeramente plástico; muy friable en húmedo y ligeramente duro en seco. Poros comunes, medianos y finos, imped y frecuentes medianos, exped. Aumenta el contenido en gravas, más divididas y alteradas que en el horizonte suprayacente, de idéntica naturaleza. Fuertemente calcáreo. Disminuyen las raíces. Límite brusco y ondulado con el horizonte subyacente.

C2 > 52 Gris parduzco claro a pardo grisáceo (10YR 5,5/2) en húmedo y gris claro a gris parduzco claro (10YR 6,5/2) en seco. Textura franco arenosa. Ligeramente adherente; ligeramente plástico; muy friable en húmedo y ligeramente duro en seco. Muy abundantes fragmentos heterométricos de naturaleza dolomítica.

PERFIL NUM. 1026-3

CARACTERÍSTICAS MACROMORFOLOGICAS

Fecha de observación: 28 de marzo de 1990.
Localización: Explotación de Turba próxima a C.N. 323.
Coordenadas: U.T.M.: 4.458-40.972.
Altitud: 738 m.
Posición fisiográfica: Depresión.
Topografía circundante: Montañosa al N. y colinada al S.
Pendiente: Llano.
Vegetación o uso: Gramíneas; juncos y carrizales.
Material original: Turba.
Drenaje: Muy escasamente drenado.
Condiciones de humedad: Humedad a los 5 cm.
Profundidad de la capa freática: 60 cm. por estar drenado artificialmente.
Pedregosidad: Sin piedras.
Afloramientos rocosos: Ninguna roca.
Erosión: Antrópica.
Influencia humana: Antropización por extracción de turba.
Clasificación: Histosol fíbrico (F.A.O). Medisaprist fluvaquentico (USDA).

Hor. Prof. cm. Descripción

Ah 0-20 Gris parduzco (10YR 4,5/1) en húmedo y gris claro (10YR 7/1) en seco. Textura franco limosa. Estructura muy débil, granular/bloques subangulares, finos. Ligeramente adherente; ligeramente plástico; muy friable en húmedo y ligeramente duro en seco. Pocos poros. Presencia de raíces finas y alguna mediana. Fuertemente carbonatado. Límite brusco y ondulado con el horizonte subyacente.

H 20-38 Negro (10YR 2/1) en húmedo y pardo muy oscuro (10YR 2/2) en seco, apareciendo manchas herrumbrosas amarillo rojizas (7,5YR 6/8) que no se observan en húmedo. Textura francolimosa. Estructura en bloques subangulares/angulares, muy compacta. Adherente; plástico; friable en húmedo y duro en seco. Existe un elevado porcentaje de raíces bien conservadas. Decarbonatado. Límite neto y plano con el horizonte subyacente.

2C 38-45 Gris claro (10YR 7/1) en húmedo y blanco a gris claro (10YR 7,5/1) en seco. Textura, franco limosa. Estructura masiva. Adherente; ligeramente plástico; sin coherencia en húmedo y blando en seco. No se observan raíces. Calcáreo. Límite neto y plano con el horizonte subyacente.

3H 46-65 Negro (10YR 2/1) en húmedo y pardo muy oscuro a negro (10YR 2/1,5) en seco. Textura franco limosa. Estructuras en bloques subangulares/angulares, muy compacta. Adherente; ligeramente plástico; friable en húmedo y duro en seco. La presencia de raíces, preferentemente de tamaño medio, no implica que estas sustenten a ninguna planta, sino que pese a su aspecto fresco, se mantienen sin descomponer por las condiciones del medio, siendo “reliquias” que aparentan tener vida. Decarbonatado. Límite gradual y difuso con el horizonte inferior.

4H >65 Negro (10YR 2/1) en húmedo y negro (10YR 2/1) en seco. Textura franca. Estructura en bloques subangulares/angulares muy compacta. Adherente; plástico; firme en húmedo y duro en seco. Decarbonatado.

FLUVISOLES

Los Fluvisoles del área de estudio son suelos que se han desarrollado sobre materiales aluviales de edad Cuaternaria. Se caracterizan por no poseer nada más que un horizonte A ócrico, con propiedades flúvicas, que no siempre son recientes, de ahí que haya que considerar integrados a Regosoles.

Los Fluvisoles cartografiados son exclusivamente calcáneos, dada la naturaleza del material subyacente y de los relieves circundantes, que provocan efervescencia dentro de los 50 cm superficiales del suelo.

Son suelos muy antropizados, calcáreos, básicos, con distribución irregular de la materia orgánica, que está bien transformada (C/N <13). El complejo de cambio aparece en todos los casos saturado y es el calcio el catión claramente dominante.

La textura va de franco arenosa a franco limosa, según la posición en la cuenca; son poco consistentes en seco y húmedo; pobres en materia orgánica debido a las altas temperaturas y la intensidad de las labores agrícolas. La capacidad de almacenaje de agua útil y el contenido en macronutrientes es irregular. La conductividad es baja, salvo en las terrazas próximas al arroyo Salado que muestran salinidad.

PERFIL NUM. 1026-11

CARACTERÍSTICAS MACROMORFOLOGICAS

Fecha de observación: 28 de junio de 1990.
Localización: En las proximidades del Restaurante Asadero (Lancha de Cenes).
Coordenadas: U.T.M.: 30SVG514-129.
Altitud: 710 m.
Posición fisiográfica: Fondo de valle.
Topografía circundante: Llanura aluvial.
Pendiente: Llano (0-2%).
Vegetación o uso: Cultivos hortofrutícolas.
Material original: Sedimentos aluviales del río Genil.
Drenaje: Bien drenado.
Condiciones de humedad: Humedad a los 60 cm.
Profundidad de la capa freática: 4 m.
Pedregosidad: Pocas piedras.
Afloramientos rocosos: Nulos.
Erosión: Antrópica.
Influencia humana: Antropización por cultivo.
Clasificación: Fluvisol calcáneo (F.A.O); Xerofluvent típico (USDA).

Hor. Prof. cm. Descripción

Ap1 0-11 Pardo a pardo pálido (10YR 5,5/3) en húmedo y pardo muy pálido (10YR 7/3) en seco. Textura franco arenosa. Estructura moderada en bloques subangulares medianos. Ligeramente adherente; ligeramente plástico; friable en húmedo y ligeramente duro en seco. Frecuentes restos de micasquistos y cuarcitas, de formas redondeadas y poco alterados. Pocos poros, finos, imped. Abundantes raíces, finas y muy finas. Calcáreo. Límite neto y plano con el horizonte subyacente.

Ap2 11-28 Pardo oscuro a pardo (10YR 4/3) en húmedo y pardo (10YR 5/3) en seco. Textura franco arenosa. Estructura fuerte en bloques subangulares medianos a gruesos. Ligeramente adherente; ligeramente plástico; friable en húmedo y ligeramente duro en seco. Frecuentes fragmentos rocosos de igual naturaleza y tamaño que en el horizonte Ap1. Pocos poros, finos, imped; algunos verticales y oblicuos, exped. Pocas raíces finas y algunas medianas. Calcáreo. Límite gradual e irregular con el horizonte inferior.

C1 28-54 Pardo a pardo pálido (10YR 5,5/3) en húmedo y pardo pálido (10YR 6/3) en seco. Textura franco arenosa. Estructura fuerte en bloques subangulares. Ligeramente adherente; ligeramente plástico; muy friable en húmedo y blando en seco. Menos contenido en fragmentos rocosos que el horizonte anterior. Pocos poros, finos, imped; algunos exped, verticales y horizontales. Pocas raíces finas y alguna mediana. Calcáreo. Límite neto y plano con el horizonte subyacente.

C2 54-130 Pardo amarillento (10YR 5/5) en húmedo y pardo amarillento débil (10YR 6/4)
en seco. Textura arenosa franca. Estructura débil en bloques subangulares
finos. Ligeramente adherente; ligeramente plástico; muy friable en húmedo y
blando en seco. Abundantes fragmentos rocosos, heterométricos, con idéntica
naturaleza a los del horizonte Ap1. Muy pocas raíces, finas. Calcáreo. Límite
brusco y plano con el horizonte C3.
C3 >130 Constituido por una potente acumulación, de naturaleza limo arcillosa, que
supera los 2 m, que posee en la matriz escasos fragmentos rocosos, de
idéntica naturaleza y menor tamaño que los de los restantes horizontes,
aunque con un mayor grado de redondez.

PERFIL NUM. 1026-12

CARACTERÍSTICAS MACROMORFOLOGICAS

Fecha de observación: 28 de junio de 1990.
Localización: En las proximidades del río Genil (Caserío de la Encina).
Coordenadas: U.T.M.: 30SVG449139.
Altitud: 650 m.
Posición fisiográfica: Fondo de valle.
Topografía circundante: Llanura aluvial.
Pendiente: Llano.
Vegetación o uso: Cultivo de maíz.
Material original: Depósitos aluviales.
Drenaje: Bien drenado.
Condiciones de humedad: Humedad a los 30 cm.
Profundidad de la capa freática: 3 m.
Pedregosidad: Sin piedras.
Afloramientos rocosos: Nulos.
Erosión: Antrópica.
Influencia humana: Antropización por cultivo.
Clasificación: Fluvisol calcárico (F.A.O); Xerofluvent típico (USDA).

Hor. Prof. cm. Descripción

Ap1 0-8 Pardo amarillento débil (10YR 6/4) en húmedo y pardo amarillento débil a pardo muy pálido (10YR 6,5/4) en seco. Textura franco arenosa. Estructura moderada en bloques subangulares medianos. Ligeramente adherente; ligeramente plástico; friable en húmedo y ligeramente duro en seco. Pocos fragmentos rocosos de tamaño grava, redondeados, son micasquistos y cuarcitas. Abundantes poros gruesos, caótico. Frecuentes raíces medianas y finas. Muy calcáreo. Límite gradual e irregular con el horizonte subyacente.

Ap2 8-42 Pardo amarillento (10YR 5/4) en húmedo y pardo amarillento débil (10YR 6/4) en seco. Textura franco arenosa. Estructura moderada en bloques subangulares medianos. Ligeramente adherente; ligeramente plástico; muy friable en húmedo y ligeramente duro en seco, pocos fragmentos rocosos de igual naturaleza, forma y tamaño que en el horizonte Ap1. Frecuentes poros medianos y pocos finos. Abundantes raíces finas que se extienden hasta los 38 cm. Muy calcáreo. Límite plano y neto con el horizonte C1.

C1 42-66 Gravera que engloba alto porcentaje de las fracciones arenosas más gruesas. Textura arenosa. Sin estructura. No adherente; no plástico y suelto en húmedo y en seco. Límite brusco y plano con el horizonte inferior.

Cg1 66-91 Horizonte masivo con una matriz gris oliva oscuro (5Y 3/2) en húmedo y gris oliva (5Y 5/2) en seco. En el seno de este material existen manchas herrumbrosas de color pardo fuerte (7,5YR 5/6) en húmedo. Textura franco limosa. Ligeramente adherente; ligeramente plástico; friable en húmedo y ligeramente duro en seco. El contenido en fragmentos rocosos, de tamaño grava, es muy pequeño (sólo un 2%). Límite irregular y discontinuo con el horizonte C2.

C2 >91 Gravera de cuarcitas y micasquistos con tamaños que oscilan entre piedra y pedregón, con formas redondeadas, e incluida dentro de una matriz arenosa de poca coherencia.

LITOSOLES Y REGOSOLES

Grupos de suelos que no poseen más que un horizonte A ócrico y/o cálcico, descansando sobre material coherente o no, en régimen de humedad xérico.

Los Regosoles se encuentran en diferentes unidades cartográficas, asociados con otras unidades de suelos, a nivel de inclusión, resaltando que se trata de suelos poco evolucionados que sin tener excesivo desarrollo edáfico sí mantienen cierto interés agrícola, dependiendo de la textura y de su capacidad de almacenamiento de agua útil para las plantas.

Las unidades dominantes son litosólicas y calcáricas, relacionadas siempre con el material original.

Litosoles y Regosoles Litosólicos

Unidades de suelos poco desarrollados cuyo epipedón tiene menos de 10 cm. o está entre 10 y 30 cm. y descansa sobre material duro y coherente o sobre coluvio con menos de 20% en tierra fina.

Se sitúan en las superficies más inclinadas y con mayores índices erosivos, desarrollando sobre materiales geológicos duros, como son las calizas, mármoles dolomíticos y dolomías, con mayor o menor grado de kakiritización.

Están cubiertos por una vegetación de poco porte o repoblados con pinos; a veces se conservan restos o isleos de vegetación natural. La poca protección del suelo por parte de la vegetación y la pendiente, junto con las condiciones climáticas reinantes, hacen que los suelos sean esqueléticos, pedregosos y presenten frecuentes cárcavas.

La génesis es pues regresiva, con un constante rejuvenecimiento de los suelos y hace que la morfología de horizontes presente escasa diferenciación.

Son suelos calcáreos a fuertemente calcáreos, con un epipedón de pocos centímetros, básicos, saturados en bases, dominando en el complejo de cambio el calcio seguido del magnesio, en porcentajes que se ligan a la naturaleza del material original; la textura es tanto más fina cuanto menos dolomítico es el material original.

Los regímenes de humedad oscilan entre Xérico y Arídico y el de temperatura es térmico.

En la clasificación americana todos entran en el orden Entisoles y dado el régimen de humedad y el contacto lítico son Xerorthents líticos.

PERFIL NUM. 1026-5

CARACTERÍSTICAS MACROMORFOLOGICAS

Fecha de observación: 29 de marzo de 1990.
Localización: 500 m. al S. del Cortijo de San Pedro.
Coordenadas: U.T.M.: 30SVG461-011.
Altitud: 1140 m.
Posición fisiográfica: Ladera cóncava.
Topografía circundante: Fuertemente ondulado a colinado.
Pendiente: Suavemente inclinado.
Vegetación o uso: Monte.
Material original: Mármoles dolomíticos.
Drenaje: Bien drenado.
Condiciones de humedad: Seco en todo el perfil.
Profundidad de la capa freática: Desconocida.
Pedregosidad: Muy pedregoso.
Afloramientos rocosos: Muy rocoso.
Erosión: Hídrica laminar y en surcos moderada.
Influencia humana: Nula.
Clasificación: Regosol litosólico (F.A.O). Xerorthent lítico (USDA).

Hor. Prof. cm. Descripción
A 0-8 Pardo rojizo (5YR 3/4) en húmedo y rojo amarillento (5YR 4,5/6) en seco. Textura franca. Estructura en bloques subangulares medianos, con tendencia laminar. Adherente; plástico; friable en húmedo y ligeramente duro en seco. Abundantes fragmentos rocosos, de tamaño grava y con algunas piedras. Pocos poros, finos y medianos. Fuertemente carbonatado. Abundantes raíces medianas y pocas gruesas. Límite irregular y discontinuo con el horizonte subyacente.
A/C 8-22 Rojo amarillento (5YR 4/6) en húmedo y rojo amarillento (5YR 5/6) en seco. Textura franco limoso. Estructura en bloques subangulares moderada. Muy adherente; plástico; friable en húmedo y ligeramente duro en seco. Constituido por bolsones de material con una estructura en bloques subangulares moderada a débil que engloba de una forma irregular y discontinua a materiales de tamaño grava cementados por material carbonatado. Las gravas suelen presentar meteorización en superficie y son de naturaleza marmórea. Pocas raíces.
C >22 Materiales calizos de colores rosados (5YR 8/3) en seco, con una matriz blanquecina que engloba fragmentos de mármoles de tamaño grava y color gris claro (5YR 7/1) en seco.

PERFIL NUM. 1026-6

CARACTERÍSTICAS MACROMORFOLOGICAS

Fecha de observación: 29 de marzo de 1990.
Localización: A 1 Km. de Ermita Vieja.
Coordenadas: U.T.M.: 30SVG513-006.
Altitud: 1300 m.
Posición fisiográfica: Ladera.
Topografía circundante: Montañosa.
Pendiente: Escarpado.
Vegetación o uso: Pinos de repoblación, con piornal, romero y lavanda.
Material original: Dolomías.
Drenaje: Bien drenado.
Condiciones de humedad: Seco en todo el perfil.
Profundidad de la capa freática: Desconocida.
Pedregosidad: Muy pedregoso.
Afloramientos rocosos: Muy rocoso.
Erosión: Hídrica muy fuerte, laminar y en surcos.
Influencia humana: Nula.
Clasificación: Regosol litosólico (F.A.O). Xerorthent lítico (USDA).

Hor. Prof. cm. Descripción

A 0-22 Pardo amarillento (10YR 5/4) en húmedo y pardo amarillento pálido a pardo amarillento muy pálido (10YR 6,5/4) en seco. Textura franco arenosa. Estructura granular, mediana a débil. Ligeramente adherente; no plástico; suelto en húmedo y suelto/blando en seco. Carbonatado. Abundantes raíces medianas y muy abundantes finas. Límite neto e irregular con el horizonte subyacente.

R >22 Gris (10YR 6/1) en húmedo y gris claro (10YR 7/1) en seco. Dolomía fracturada y muy saprolitizada.

PERFIL NUM. 1026-25

CARACTERÍSTICAS MACROMORFOLOGICAS

Fecha de observación: 17 de abril de 1990.
Localización: Sierra del Manar.
Coordenadas: U.T.M.: 30SVG484-992.
Altitud: 1120 m.
Posición fisiográfica: Ladera.
Topografía circundante: Montañoso.
Pendiente: Escarpada.
Vegetación o uso: Repoblación de pinos, con esparto, ulex y romero.
Material original: Dolomías kakiritizadas.
Drenaje: Bien drenado.
Condiciones de humedad: Seco todo el perfil.
Profundidad de la capa freática: Desconocida.
Pedregosidad: Pedregoso.
Afloramientos rocosos: Moderadamente rocoso.
Erosión: Hídrica en surcos.
Influencia humana: Repoblación forestal.
Clasificación: Regosol litosólico (F.A.O). Xerorthent lítico (USDA).

Hor. Prof. cm. Descripción

Au1 0-4 Pardo oscuro (10YR 4/3) en húmedo y pardo (10YR 5,5/3) en seco. Textura franco arcillo arenosa a franco arenosa. Estructura granular débil. Ligeramente adherente; ligeramente plástico; friable en húmedo y blando en seco. Abundantes raíces, finas y muy finas. Fuertemente calcáreo. Límite neto y plano con el horizonte subyacente.

Au2 4-25 Gris pálido a gris claro (10YR 6,5/2) en seco y pardo grisáceo oscuro (10YR 4/2) en húmedo. Textura franco arcillo arenosa. Estructura en bloques subangulares, moderada; ligeramente duro en seco. Pocos poros, finos, tubulares, imped; pocos poros, medianos, horizontales y verticales, exped. Abundantes fragmentos rocosos, de naturaleza dolomítica, formas angulares, de tamaño grava, meteorizados por fragmentación. Muy calcáreo. Abundantes raíces finas, algunas medianas. Límite gradual e irregular con el horizonte subyacente.

R >25 Constituido por dolomías kakiritizadas.

PERFIL NUM. 1026-27

CARACTERÍSTICAS MACROMORFOLOGICAS

Fecha de observación: 16 de noviembre de 1990.

Localización: A 2 Km. de Agrón por el Camino de Leñadores.

Coordenadas: U.T.M.: 30SVG259976.

Altitud: 1100 m.

Posición fisiográfica: Ladera convexa.

Topografía circundante: Fuertemente ondulado.

Pendiente: Moderadamente escarpado.

Vegetación o uso: Aulagar-espartal.

Material original: Calcarenitas.

Drenaje: Excesivamente bien drenado.

Condiciones de humedad: Seco.

Profundidad de la capa freática: Desconocida.

Pedregosidad: Pedregoso.

Afloramientos rocosos: Sólo en las cimas de las colinas.

Erosión: Hídrica en surcos, severa.

Influencia humana: No.

Clasificación: Regosol litosólico (F.A.O). Xerorthent lítico (USDA).

Hor. Prof. cm. Descripción

A 0-29 Color en seco pardo amarillo claro (10YR 6/4) y pardo amarillento en húmedo. Textura arenoso franca. Estructura granular muy fina. No adherente, no plástico y suelto; calcáreo. Frecuentes gravas y algunas piedras, redondeadas

o subredondeadas, de naturaleza caliza, y sin alterar. Pocas raíces, muy finas. Límite inferior brusco y ondulado.

R >28 Calcarenita que engloba abundantes fósiles (pectinidos, erizos...), cuya potencia supera los tres metros.

PERFIL NUM. 1026-29

CARACTERÍSTICAS MACROMORFOLOGICAS

Fecha de observación: 16 de noviembre de 1990.
Localización: Cortijo de la Pera.
Coordenadas: U.T.M.: 30SVG283884.
Altitud: 1160 m.
Posición fisiográfica: Meseta.
Topografía circundante: Fuertemente ondulado.
Pendiente: Casi llano.
Vegetación o uso: Cultivo de cereales.
Material original: Dolomías fétidas.
Drenaje: Bien drenado.
Condiciones de humedad: Seco.
Profundidad de la capa freática: Desconocida.
Pedregosidad: Pedregoso.
Afloramientos rocosos: Sin afloramientos.
Erosión: Hídrica laminar moderada.
Influencia humana: Labor.
Clasificación: Regosol litosólico (F.A.O). Xerorthent lítico (USDA).

Hor. Prof. cm. Descripción
Ap 0-15 Color en seco rojo (2,5YR 5/7) y ligeramente más oscuro en húmedo (2,5YR 4/7). Textura arcillosa. Estructura granular media, moderada. Muy plástico, adherente, friable y duro. No calcáreo, frecuentes gravas, de naturaleza cuarcítica y dolomítica, estas últimas más redondeadas y de mayor tamaño. Pocos poros, tubulares, cerrados, imped. Frecuentes intersticiales, finos, exped. Raíces comunes, finas y muy finas. Límite inferior brusco y plano.
R >15 Dolomías fétidas.

PERFIL NUM. 1026-33

CARACTERÍSTICAS MACROMORFOLOGICAS

Fecha de observación: 14 de enero de 1991.
Localización: Cerro del Moro.
Coordenadas: U.T.M.: 30SVG248057.
Altitud: 860 m.
Posición fisiográfica: Ladera cóncava.
Topografía circundante: Colinado.
Pendiente: Moderadamente escarpado.
Vegetación o uso: Cultivo de secano.
Material original: Calizas lacustres.
Drenaje: Bien drenado.
Condiciones de humedad: Seco.
Profundidad de la capa freática: Desconocida.
Pedregosidad: Pedregoso.
Afloramientos rocosos: Moderadamente rocoso.
Erosión: Hídrica laminar y en surcos.
Influencia humana: Labores.
Clasificación: Regosol litosólico (F.A.O). Xerorthent lítico (USDA).

Hor. Prof. cm. Descripción
Ap 0-27 En seco presenta un color de blanco a gris débil (10YR 7,5/2) y gris débil en húmedo. Textura, franca. Estructura granular, fina. Ligeramente adherente, plástico, friable, blando. Frecuentes poros, finos y muy finos. Frecuentes gravas calizas, bien conservadas. Fuertemente calcáreo. Raíces comunes, finas y muy finas. Límite brusco y plano.
R >27 Caliza lacustre.

REGOSOLES MARGALICOS

Incluimos en esta unidad aquellos suelos con ciertos caracteres vérticos: contenido en arcilla superior al 30%, y UNIFIED superior al 90%, más la presencia de grietas de retracción bien desarrolladas y slikensides.

Son suelos ampliamente representados en el ámbito de la hoja y el carácter vértico se liga a la naturaleza del material original: margas o arcillas con yesos que cubren los materiales béticos, mostrando una abundante microfauna que denuncia la facies de estos materiales.

A los rasgos ya descritos hay que asociar otros que definen la morfología, como son la consistencia dura en seco, la plasticidad y adhesión cuando mojado etc. También la estructura pone de manifiesto la composición mineralógica del suelo, con grandes bloques masivos allí donde no llegan las labores y granular en el epipedón. La reserva de agua es alta favorecida por la potencia del perfil y no por su desarrollo edáfico.

Son suelos por lo general fuertemente calcáreos, poco pedregosos, básicos, saturados en base, con claro dominio del calcio sobre los demás cationes de cambio. El contenido en materia orgánica es siempre bajo y se halla muy transformada (C/N próximo a 10).

PERFIL NUM. 1026-19

CARACTERÍSTICAS MACROMORFOLOGICAS

Fecha de observación: 13 de septiembre de 1990.
Localización: Cortijo de Santa Catalina.
Coordenadas: U.T.M.: 30SVG321101.
Altitud: 760 m.
Posición fisiográfica: Planicie.
Topografía circundante: Ondulado.
Pendiente: Suavemente inclinado.
Vegetación o uso: Cereales.
Material original: Margas.
Drenaje: Imperfectamente drenado.
Condiciones de humedad: Seco.
Profundidad de la capa freática: Desconocida.
Pedregosidad: Muy pocas piedras.
Afloramientos rocosos: Ninguno.
Erosión: Hídrica en surcos, moderada.
Influencia humana: Labores.
Clasificación: Regosol margálico (F.A.O). Xerorthent lítico (USDA).

Hor. Prof. cm. Descripción
Ap 0-25 En seco presenta un color gris claro (2,5YR 7/2) que pasa en húmedo a pardo amarillento (2,5Y 6/4). Textura arcillosa. Estructura granular media, moderada. Muy plástico, muy adherente, muy duro y friable. Pocos poros tubulares y otros oblicuos más frecuentes. Muy pocas gravas, de naturaleza caliza; fuertemente calcáreo. Pocas raíces, finas y muy finas. Límite inferior neto y plano.
C >25 Margas miocenas de color gris claro (2,5Y 7/2) que pasa a 5/2 en húmedo. Textura arcillo limosa. Masivo, observándose pocos poros tubulares. Muy pocas gravas, de igual naturaleza que en el horizonte Ap. Fuertemente calcáreo y con muy pocas raíces. Supera el metro de profundidad.

REGOSOLES CALCÁRICOS

Dependiendo de la naturaleza del material original, coluvial o sedimentario, no consolidado, de edad miocena, se pueden diferenciar tres subunidades calcáricas, según estén en fase pedregosa y/o lítica o no, y presenten horizonte cálcico o petrocálcico.

Se trata de suelos calcáreos o fuertemente calcáreos, textura franco arenosa o más fina, dependiendo del material original, y pH próximo a 8.

La capacidad de cambio suele ser baja dependiendo de la granulometría; el complejo cambio está saturado, sobre todo por calcio y magnesio. La conductividad del estrado de saturación oscila entre baja y moderada, marcando en éste último caso el tránsito hacia Solonchak.

Hay suelos con horizonte cálcico o con acumulaciones de caliza secundaria; en el primer caso no resulta posible encasillarlos en ningún grupo de suelos según FAO, salvo Xerosoles y Yermosoles, pero sólo en régimen arídico que no es nuestro caso; para mantener los criterios expuesto en el Proyecto LUCDEME lo incluimos dentro de las unidades de Regosoles calcáricos y más cuando difícilmente llegan las nodulaciones a justificar un horizonte cálcico.

Por tratarse de suelos con un horizonte ócrico exclusivamente, en la Clasificación Americana, dado el régimen de humedad Xérico, son Xerorthent típicos o líticos dependiendo del material original y su profundidad. Cuando hay horizonte cálcico o gípsico se incluyen en el orden Inceptisoles y se separan de este si el extracto de saturación tiene una conductividad de más de 2 mmhos por cm en la capa de 18 ó 50 cm o sobre un contacto lítico o paralítico, sea cual sea la magnitud menos profunda. (Perfiles 1026-31 y 1026-32).

PERFIL NUM. 1026-1

CARACTERÍSTICAS MACROMORFOLOGICAS

Fecha de observación: 28 de marzo de 1990.
Localización: Sierra del Manar (entre Padul y la primera cantera).
Coordenadas: U.T.M.: 30SVG457982.
Altitud: 880 m.
Posición fisiográfica: Pie de ladera.
Topografía circundante: Montañoso al N y valle al Sur.
Pendiente: Ligeramente escarpada.
Vegetación o uso: Cultivo de almendros y olivos.
Material original: Coluvio de piedemonte.
Drenaje: Bien drenado.
Condiciones de humedad: Seco todo el perfil.
Profundidad de la capa freática: Desconocida.
Pedregosidad: Abundante en superficie de tamaño grava.
Afloramientos rocosos: Muy pocas rocas.
Erosión: Hídrica laminar moderada/ligera.
Influencia humana: Antropización por cultivo (siguen curvas de nivel).
Clasificación: Regosol calcárico (F.A.O). Xerorthent típico (USDA).

Hor. Prof. cm. Descripción
A 0-33 Pardo amarillento claro (10YR 6/4) en seco y pardo grisáceo oscuro (10YR 4/2) en húmedo. Textura franco arenosa. Estructura granular débil, moderada. Ligeramente adherente, ligeramente plástico, muy friable en húmedo y blando en seco. Abundantes fragmentos rocosos de tamaño grava, naturaleza dolomítica y formas angulares, poco meteorizados en superficie. Fuertemente calcáreo. Abundantes y muy abundantes raíces, medianas y finas. Límite neto y plano con el horizonte subyacente.
C >33 Constituido por un coluvio de dolomías débilmente cementadas por material de coloración pardo pálido (10YR 6/3) en seco y pardo oscuro (10YR 3,5/3) en húmedo. Estructura granular débil a muy débil. Textura franco arcillo arenosa. Ligeramente adherente; ligeramente plástico; muy friable en húmedo y blando en seco. Frecuentes raíces, medianas y finas. Aumenta el contenido en gravas en una distancia superior al metro.

PERFIL NUM. 1026-4

CARACTERÍSTICAS MACROMORFOLOGICAS

Fecha de observación: 28 de marzo de 1990.
Localización: A 500 m del vertedero de Padul.
Coordenadas: U.T.M.: 30SVG423968.
Altitud: 820 m.
Posición fisiográfica: Meseta.
Topografía circundante: Ligeramente ondulada.
Pendiente: Suavemente inclinado.
Vegetación o uso: Cultivo de cereales.
Material original: Caliza.
Drenaje: Moderadamente bien drenado.
Condiciones de humedad: Seco.
Profundidad de la capa freática: Desconocida.
Pedregosidad: Moderadamente pedregoso.
Afloramientos rocosos: Moderadamente rocoso.
Erosión: Hídrica laminar ligera.
Influencia humana: Antropización por cultivos.
Clasificación: Regosol calcáneo (F.A.O). Xerorthent lítico (USDA).

Hor. Prof. cm. Descripción

Api 0-12 En seco presenta un color gris claro (2,5YR 7/2) que pasa en húmedo a pardoamarillento (2,5Y 6/4). Textura arcillosa. Estructura granular media, moderada. Muy plástico, muy adherente, muy duro y friable. Pocos poros tubulares y otros oblicuos más frecuentes. Muy pocas gravas, de naturaleza caliza. Fuertemente calcáreo. Pocas raíces, finas y muy finas. Límite inferior neto y plano.

Ap2 12-41 Pardo oscuro a pardo (7,5YR 5/5) en húmedo y rosa a pardo claro (7,5YR 5,5/4) en seco. Textura franca. Estructura en bloques subangulares medianos, moderada. Adherente. Plástico. Muy friable en húmedo y duro en seco. Frecuentes poros finos, imped y algunos exped. Se mantiene el contenido en grava, aumenta ligeramente el contenido en nódulos. Muy calcáreo. Abundantes raíces finas. Límite brusco y plano con el horizonte subyacente.

R >41 Constituido por una losa caliza, de superficie plana y de espesor variable.

PERFIL NUM. 1026-7

CARACTERÍSTICAS MACROMORFOLOGICAS

Fecha de observación: 27 de junio de 1990.
Localización: Carretera comarcal Otura-Dílar, a 2 km de Otura.
Coordenadas: U.T.M.: 30SVG446049.
Altitud: 810 m.
Posición fisiográfica: Conos de deyección.
Topografía circundante: Ondulada.
Pendiente: Llano.
Vegetación o uso: Barbecho.
Material original: Dolomías.
Drenaje: Bien drenado.
Condiciones de humedad: Seco en todo el perfil.
Profundidad de la capa freática: Desconocida.
Pedregosidad: Sin piedras.
Afloramientos rocosos: Muy pocas rocas.
Erosión: Hídrica laminar débil.
Influencia humana: Nula.
Clasificación: Regosol calcáneo (F.A.O). Xerorthent típico (USDA).

Hor. Prof. cm. Descripción

A 0-40 Amarillo rojizo (7,5YR 6/6) en húmedo y amarillo rojizo (7,5YR 6,5/6) en seco. Textura franca. Estructura moderada en bloques subangulares medianos. Ligeramente adherente. Ligeramente plástico. Muy friable en húmedo y ligeramente duro en seco. Pocos poros medianos, muy pocos finos, caóticos. Frecuentes fragmentos rocosos de naturaleza caliza y calizo dolomítica, con formas angulares. Algunas cuarcitas angulares de tamaño grava y poco alteradas. Muy calcáreo. Raíces comunes finas y muy finas, muy pocas medianas. Límite gradual e irregular con el horizonte subyacente.

A/C 40-80 Pardo fuerte (7,5YR 5/6) en húmedo y pardo fuerte a amarillo rojizo (7,5YR 5,5/6) en seco. Textura franco arenosa. Estructura moderada/fuerte en bloques subangulares medianos. Pocos poros, finos, imped, caóticos. Abundantes fragmentos rocosos de tamaño grava y naturaleza semejante a los del horizonte superior. Muy calcáreo. Límite difuso e irregular con el horizonte inferior.

2C >80 Constituido por un coluvio calizo-dolomítico de color blanco-grisáceo en seco.

PERFIL NUM. 1026-18

CARACTERÍSTICAS MACROMORFOLOGICAS

Fecha de observación: 13 de noviembre de 1990.
Localización: 500 m al Este de Chimeneas.
Coordenadas: U.T.M.: 30SVG275095.
Altitud: 710 m.
Posición fisiográfica: Pendiente cóncava.
Topografía circundante: Colinado.
Pendiente: Moderadamente escarpado.
Vegetación o uso: Cereales.
Material original: Limos.
Drenaje: Moderadamente bien drenado.
Condiciones de humedad: Seco.
Profundidad de la capa freática: Desconocida.
Pedregosidad: Muy pocas piedras.
Afloramientos rocosos: Ninguno.
Erosión: Hídrica en surcos, severa.
Influencia humana: Laboreo.
Clasificación: Regosol calcárico (F.A.O). Xerorthent típico (USDA).

Hor. Prof. cm. Descripción
A 0-12 Color en seco, blanco (10YR 8/2) y pasa a gris claro en húmedo (10YR 7/2). Textura franco limosa. Estructura granular fina. Ligeramente adherente, ligeramente plástico, blando, muy friable. Fuertemente calcáreo. Frecuentes raíces, finas y muy finas. Frecuentes gravas, calcáreas, bien conservadas. Límite inferior neto y plano.
C 12-23 Limo de color blanco (10YR 8/1) en seco y en húmedo gris claro (10YR 7/1). Está bastante cementado por una matriz calcárea; ausencia de raíces y fuertemente calcáreo. Límite brusco y plano.
2C >23 Material margoso de color gris claro (10YR 7/1) que pasa a gris (10YR 5/1) en húmedo; de textura arcillosa.

PERFIL NUM. 1026-31

CARACTERÍSTICAS MACROMORFOLOGICAS

Fecha de observación: 14 de enero de 1991.
Localización: Cerro de los pedernales.
Coordenadas: U.T.M.: 30SVG360114.
Altitud: 720 m.
Posición fisiográfica: Pendiente convexa.
Topografía circundante: Ondulado.
Pendiente: Inclinado.
Vegetación o uso: Secano y almendros.
Material original: Margas yesíferas.
Drenaje: Escasamente drenado.
Condiciones de humedad: Seco.
Profundidad de la capa freática: Desconocida.
Pedregosidad: Pocas gravas.
Afloramientos rocosos: Ninguno.
Erosión: Hídrica laminar y en surcos.
Influencia humana: Labores.
Clasificación: Regosol calcárico (F.A.O). Calciorthid xerolítico (USDA).

Hor. Prof. cm. Descripción
Ap 0-24 Entre blanco y gris tenue en seco (10YR 7,5/2) y blanco muy pálido a pardo pálido en húmedo (10YR 6/2,5). Algunas manchas de color blanco, difusas, irregularmente distribuidas. Textura franco limosa. Estructura granular fina. Adherente, plástico, friable y blando. Hay algunos poros grandes, tubulares, abiertos. Abundantes gravas que son de yeso. Calcáreo; algunos hormigueos. Raíces comunes, finas y muy finas. Límite neto y plano.
Ck 24-54 En seco presenta un color gris débil (10YR 7/1,5) y en húmedo pardo débil (10YR 6/2); manchas blanquecinas en forma de pseudomicelios. Textura arcillosa. Estructura masiva; adherente, plástico, friable y ligeramente duro. Algunos poros oblicuos, finos y medianos. Mayor número de gravas que en el horizonte anterior e igualmente yesíferas, con buena cristalización y una cierta estratificación en discordancia angular con el horizonte 2C. Pocas raíces; ausencia de actividad biológica. Límite plano y brusco.
2C >54 Lechos yesíferos bien estratificados, horizontales, alternando con margas laminares.

PERFIL NUM. 1026-32

CARACTERÍSTICAS MACROMORFOLOGICAS

Fecha de observación: 14 de enero de 1991.
Localización: Atalaya de La Mala.
Coordenadas: U.T.M.: 30SVG342072.
Altitud: 880 m.
Posición fisiográfica: Pendiente convexa.
Topografía circundante: De fuertemente ondulada a colinada.
Pendiente: Moderadamente escarpado.
Vegetación o uso: Espartal.
Material original: Areniscas yesíferas.
Drenaje: Bien drenado.
Condiciones de humedad: Humedad de campo.
Profundidad de la capa freática: Desconocida.
Pedregosidad: Algunas gravas.
Afloramientos rocosos: Pocos.
Erosión: Hídrica en surcos y eólica.
Influencia humana: Pastoreo.
Clasificación: Regosol calcárico (F.A.O). Gypsiorthid típico (USDA).

Hor. Prof. cm. Descripción
A 0-5 Color en seco pardo muy pálido (10YR 7/3) y pardo pálido en húmedo. Textura franco limosa. Estructura granular fina. No adherente, ligeramente plástico, friable, blando. Frecuentes poros, finos y muy finos. Abundantes gravas de yeso, perfectamente cristalizado. Calcáreo. Algunas lombrices. Raíces comunes, finas y muy finas. Límite gradual y plano.
Cy 5-3 Material areniscoso, muy meteorizado, que presenta un color en seco entre pardo muy pálido y gris débil (10YR 7/2,5) y en húmedo pardo pálido a gris pardo débil (10YR 6/2,5). Algunos poros, tubulares, abiertos. Cristalaria de yeso. Calcáreo. Pocas raíces. Límite gradual y plano.
C >31 Material areniscoso con mayor grado de meteorización; calcáreo, de color semejante al horizonte C1; con mayor contenido en gravas y arenas de yeso. Hay pequeños y escasos nódulos de color blanco.

REGOSOLES EUTRICOS

Unidad de suelos escasamente representada en la hoja, quedando prácticamente reducida a las unidades que contactan con la hoja topográfica vecina de Güejar Sierra (1027) y de forma más concreta en los alrededores de Agrón, sobre esquistos y filitas de grano fino, constituidos esencialmente por cuarzo, mica y clorita (IGME, 1980). Entre los materiales esquistosos se encuentran intercalaciones lenticulares de cuarcitas que cuando afloran sólo permiten, dadas las características climáticas, el desarrollo de unidades litosólicas.

Son suelos con baja capacidad de cambio debido al contenido en materia orgánica y su grado de transformación, a la granulometría relativamente gruesa de los epipedones y el alto porcentaje en gravas.

Está pH está próximo a la neutralidad y el complejo de cambio está prácticamente saturado, salvo si el material es cuarcítico; el calcio es el catión dominante, seguido a distancia por las otras bases de cambio. La reserva de agua útil es baja a causa de la poca potencia del suelo.

En la clasificación americana entran dentro del gran grupo de los Xerorthent, que serán típicos o líticos dependiendo de la profundidad del contacto lítico, mayoritariamente dentro de los 50 cm superficiales.

PERFIL NUM. 1026-30

CARACTERÍSTICAS MACROMORFOLOGICAS

Fecha de observación: 14 de enero de 1991.
Localización: Cerrillo de los Guardas.
Coordenadas: U.T.M.: 30SVG272985.
Altitud: 1060 m.
Posición fisiográfica: Ladera cóncava.
Topografía circundante: Fuertemente ondulada.
Pendiente: Moderadamente escarpado.
Vegetación o uso: Encinar-jaral.
Material original: Esquistos cuarcíticos.
Drenaje: Bien drenado.
Condiciones de humedad: Seco.
Profundidad de la capa freática: Desconocida.
Pedregosidad: Pedregoso.
Afloramientos rocosos: Rocoso.
Erosión: Hídrica en surcos y cárcavas, ligera.
Influencia humana: No.
Clasificación: Regosol eútrico (F.A.O). Xerorthent lítico (USDA).

Hor. Prof. cm. Descripción
A 0-32 Color amarillo parduzco en seco (10YR 6/6) que pasa a pardo amarillento oscuro en húmedo (10YR 4/6). Franco. Estructura granular fina a media, débil. No adherente, ligeramente plástico y muy friable. Pocos poros intersticiales, finos. Abundantes gravas, de naturaleza esquistosa y cuarcítica, muy angulosas y perfectamente conservadas. No calcáreo. Abundantes raíces finas, algunas medianas. Límite inferior ondulado y gradual.
C 32-50 Esquistos muy fragmentados con más del 20% de tierra fina hasta los 50 cm.

RENDSINAS Y KASTANOZEMS

Suelos con horizonte móllico y/o cálcico, hecho este último que nos permite cartografiar las dos unidades isohúmicas que describimos.

Las Rendsinas dominan sobre el conjunto de suelos con móllico en el entorno geográfico que nos ocupa, caracterizándose, en general, por el poco espesor del epipedón y ser calcáreos o fuertemente calcáreos y desarrollar a partir de material lítico fuertemente calcáreo o calcáreo.

Con rasgo diagnóstico diferente, merced a la presencia del horizonte cálcico (Ck), manifiesto por la acumulación estalactiforme que muestran los cantos en su cara inferior, están los Kastanozems, propios de las zonas más frías y húmedas.

No se puede descartar la presencia de otras unidades móllicas, Chernozems y Phaeozems, pero con extensión mínima. Sólo se incluyen estos suelos en las unidades cartográficas limítrofes con la hoja de Güejar Sierra (1.027), donde sí proliferan más, debido a su orientación, altitud y geología, respecto de nuestra área orientada a poniente, con vegetación natural (encinas y pinos) muy diezmada y suelos en conjunto muy erosionados.

Hay que destacar que son suelos poco profundos y por ello la reserva de agua útil es muy baja, de ahí que el que el régimen de humedad teórico está en la frontera entre arídico y xérico, hecho no compatible con la existencia de un horizonte móllico, sólo justificable con la posición fisiográfica: zonas resguardadas y frescas (umbrías y valles).

PERFIL NUM. 1026-14

CARACTERÍSTICAS MACROMORFOLOGICAS

Fecha de observación: 29 de junio de 1990.
Localización: A 900 m de la central eléctrica Dúrcal.
Coordenadas: U.T.M.: 30SVG515964.
Altitud: 1080 m.
Posición fisiográfica: Pendiente convexa.
Topografía circundante: Montañosa.
Pendiente: Escarpado.
Vegetación o uso: Encinar, lavandula, romero y tomillo.
Material original: Mármoles dolomíticos.
Drenaje: Bien drenado.
Condiciones de humedad: Seco en todo el perfil.
Profundidad de la capa freática: Desconocida.
Pedregosidad: Muy pedregoso.
Afloramientos rocosos: Moderadamente rocoso.
Erosión: Hídrica laminar débil.
Influencia humana: Nula.
Clasificación: Rendsina (F.A.O). Haploxeroll lítico (USDA).

Hor. Prof. cm. Descripción
A 0-18 Pardo rojizo oscuro (5YR 3/2) en húmedo y gris rojizo oscuro a pardo rojizo (5YR 4/2,5) en seco. Textura franco arenosa. Estructura granular fina. Ligeramente adherente; ligeramente plástico; muy friable en húmedo y blando en seco. Abundantes fragmentos rocosos de naturaleza calizo dolomítica, tamaño grava y formas angulares. Raíces muy abundantes medianas y finas, comunes muy finas. Muy calcáreo. Límite brusco e interrumpido con el horizonte subyacente.
R >18 Losa calizo-dolomítica.

XEROSOLES

Incluimos en este grupo de suelos aquellas formaciones superficiales que desarrollan en ambientes próximos a arídicos, carácter que se consigue por el poco espesor de la capa de raíces, el bajo contenido en materia orgánica y la textura relativamente gruesa, factores que afectan a la capacidad de almacenaje de agua útil por el suelo; como además los períodos donde la ETP supera a la re-cipitación son largos, motiva que el suelo esté totalmente seco gran parte del año, en un número de meses equivalente al límite que separa los regímenes de humedad Xérico y Arídico.

Si a esto unimos la presencia de un horizonte cálcico o gípsico, a veces en fase pétrica, parece lógico incluirlos como Xerosoles, dentro de las unidades calcica o gípsica respectivamente.

XEROSOLES CALCICOS

Suelos únicamente cartografiados en los llanos de La Zubia, allí donde el conglomerado basal, potente y cementado, aflora o es muy superficial por haberse erosionado la matriz edafizada que lo sobreyacía.

En estas condiciones, con suelos poco profundos, que sólo tienen un horizonte ócrico y otro sub-superficial cálcico o petrocálcico, siendo el epipedón poco orgánico y de textura relativamente gruesa, con colores que oscilan entre pardo y pardo rojizo y capacidad de almacenar agua muy baja, menor de 25 mm, lo que justifica un cambio transicional del régimen de humedad que pasa de xérico en todo el ámbito donde la profundidad de enraizamiento es moderadamente alta a xérico/arídico cuando es pequeña (menor de 20 cm), motivado también por el régimen de temperatura térmico.

Son suelos moderadamente pedregosos o pedregosos, fuertemente calcáreos, básicos, con el complejo saturado y el calcio como catión dominante.

En la clasificación americana, si consideramos el régimen como arídico, entran dentro del orden Aridisoles y como sólo tienen horizontes cálcicos o petrocálcicos, son Calciorthid o Paleorthid, típicos o líticos.

PERFIL NUM. 1026-36

CARACTERÍSTICAS MACROMORFOLOGICAS

Fecha de observación: 9 de abril de 1991.
Localización: Junto al Cortijo Macirena.
Coordenadas: U.T.M.: 30SVG492045.
Altitud: 980 m.
Posición fisiográfica: Planicie.
Topografía circundante: Casi plano.
Pendiente: Casi llano.
Vegetación o uso: Pinar de repoblación.
Material original: Conglomerado calizo.
Drenaje: Bien drenado.
Condiciones de humedad: Seco.
Profundidad de la capa freática: Desconocida.
Pedregosidad: Moderadamente pedregoso.
Afloramientos rocosos: Ninguno.
Erosión: Hídrica laminar y eólica.
Influencia humana: Repoblaciones.
Clasificación: Xerosol cálcico (F.A.O). Calciorthid típico (USDA).

Hor. Prof. cm. Descripción
A 0-26 Color seco pardo rojizo (5YR 5/4) en húmedo pardo rojizo oscuro (5YR 3/4). Textura franco arenosa. Estructura granular fina. Ligeramente plástico, no adherente. Frecuentes gravas de naturaleza calcárea, heterométricas, con diferente grado de redondeamiento. Fuertemente calcáreo. Pocas raíces muy finas. Límite brusco.
Cmk1 26-49 Bloques, piedras y gravas con cierta estratificación.
Cmk2 49-90 Disminuyen las piedras en tamaño y número, sin bloques, gravas poco abundantes.
Cmk3 90-130 Aumentan las gravas de naturaleza dolomítica que se encuentran menos cementadas.
C >130 Gravas.

XEROSOLES GIPSICOS

Suelos que desarrollan en ambiente de humedad Arídico/Xérico y Térmico en cuanto al de temperatura, con un epipedón ócrico, débilmente orgánico, al que subyace un horizonte gípsico o petro-gípsico.

Su presencia está relacionada con las turbiditas/evaporitas que rellenan la Depresión de la Mala, siendo más extensos en el borde meridional de la cuenca, donde el flysch se configura en series de poco espesor, evolucionando a partir de los limos evaporíticos que cubren las areniscas turbidíticas.

En estas condiciones y en un ambiente estepario muy xérico, el suelo tiene un horizonte A poco potente, principal causa del régimen Xérico/Arídico, calcáreo y de textura limosa, con afloramientos y pedregosidad suficiente para condicionar el uso del suelo, procedentes del conglomerado arenisco y/o son restos de alabastro, material subyacente a la formación descrita.

Entre el horizonte superficial y el consolidado, se puede detectar un horizonte Y, posiblemente gípsico, manifiesto por la acumulación de yeso cristalino en forma de macrocristales y en eflorescencias que elevan la conductividad del extracto de saturación.

En la clasificación americana, al no tener otro horizonte de diagnóstico más que ócrico y gípsico, siendo el régimen Arídico entran dentro de los subgrupos.

PERFIL NUM. 1026-44

CARACTERÍSTICAS MACROMORFOLOGICAS

Fecha de observación: 16 de febrero de 1991.
Localización: Cortijo de Santapudia.
Coordenadas: U.T.M.: 30SVG364008.
Altitud: 860 m.
Posición fisiográfica: Ladera convexa.
Topografía circundante: Ondulada.
Pendiente: Inclinado.
Vegetación o uso: Xerofítica.
Material original: Turbiditas/Alabastros.
Drenaje: Bien drenado.
Condiciones de humedad: Totalmente seco.
Profundidad de la capa freática: Desconocida.
Pedregosidad: Pedregoso.
Afloramientos rocosos: Frecuentes.
Erosión: Hídrica en surco severa.
Influencia humana: Pastoreo.
Clasificación: Xerosol gípsico (F.A.O). Gypsiorthids lítico (USDA).

Hor. Prof. cm. Descripción
A 0-8 Color pardo pálido (10YR 7/3) en seco y algo más oscuro (10YR 5/3) en húmedo. Textura franco limosa. Estructura granular fina. No adherente, no plástico, friable y blando. Muy poroso. Buena actividad biológica. Abundantes gravas de yeso y piedras que son areniscosas, siempre bien conservadas. Abundantes raíces, finas y muy finas. Límite gradual y plano.
Ay 8-14 Horizonte de color algo más pálido en seco (10YR 7,5/3) que el horizonte superior y con la misma tonalidad en húmedo. Textura franco limosa. Estructura en bloques subangulares medianos. Abundante cristalaria y eflorescencias de yeso. Calcáreo. Decrece la actividad biológica.
C/R >14 Alabastro y sedimentos limosos con fina estratificación.

SOLONCHAKS ORTICOS

Son suelos que ocupan extensas zonas al O del área de estudio y se encuentran en las cercanías de la Mala o próximos al pico Montevives.

Poseen propiedades sódicas por tener una saturación en el complejo de cambio del 15% de sodio; calcio y magnesio son los cationes dominantes en el complejo y ésta está siempre saturado.

Desarrollan sobre series típicamente evaporíticas, con alternancia de limos en proporciones variables según los tramos. También hay niveles de areniscas con secuencias turbidíticas (DABRIO et al. 1972).

Morfológicamente se parecen mucho a los Regosoles calcáricos con yeso descritos anteriormente. Son suelos con un contenido en arcilla inferior al 30%, con altos porcentajes en limos y pocas gravas.

El contenido en materia orgánica es siempre bajo y está bien transformada. La capacidad de almacenaje de agua útil es baja, como era de prever, lo que unido a la termicidad del régimen de temperatura dificulta el uso agrícola de estos suelos.

Algunos Solonchacks tienen un horizonte cálcico o gípsico, manifiesto en las nodulaciones blancas y cristalaria que presentan los horizontes profundos.

En la clasificación USDA dependiendo de que tengan sálico o no, se definirían como Salorthid o Gysiorthids típicos o líticos respectivamente, porque ciertamente contienen uno de los dos horizontes diagnóstico, sálico o gypsico, sin que podamos separarlos por falta de datos sobre sales solubles, aunque según las experiencias de SIMON (1978) muchos de ellos tendrían sálico.

PERFIL NUM. 1026-15

CARACTERÍSTICAS MACROMORFOLOGICAS

Fecha de observación: 29 de junio de 1990.
Localización: 1 Km al E del Pico Montevives.
Coordenadas: U.T.M.: 30SVG396-067.
Altitud: 780 m.
Posición fisiográfica: Ladera cóncava.
Topografía circundante: Ondulado.
Pendiente: Suavemente inclinado (2-6%).
Vegetación o uso: Barbecho.
Material original: Limos con yesos.
Drenaje: Imperfectamente drenado.
Condiciones de humedad: Húmedo a los 25 cm.
Profundidad de la capa freática: Desconocida.
Pedregosidad: Sin piedras.
Afloramientos rocosos: Muy pocos.
Erosión: Hídrica laminar y eólica moderada.
Influencia humana: Antropización por cultivo.
Clasificación: Solonchaks órtico (F.A.O). Salorthid o Gysiorthird típico (USDA).

Hor. Prof. cm. Descripción

Apn 0-9 Pardo pálido a pardo amarillento débil (10YR 6/3,5) en húmedo y gris débil a pardo muy pálido (10YR 7/2,5) en seco. Textura franco limosa. Estructura fuerte en bloques subangulares medianos. Adherente; plástico; friable en húmedo y ligeramente duro en seco. Muy pocos fragmentos rocosos de tamaño grava, de yeso. Pocos poros medianos imped. Frecuentes raíces finas y muy finas. Calcáreo. Límite neto y plano con el horizonte inferior.

C 9-73 Pardo amarillento a pardo amarillento débil (10YR 5,5/4) en húmedo y pardo muy pálido (10YR 5,5/4) en seco. Textura franco limosa. Estructura fuerte en bloques angulares/subangulares. Adherente; plástico; friable en húmedo y ligeramente duro en seco. Existen algunos fragmentos cristalinos de yeso de tamaño grava. Pocos poros finos imped, pocos poros horizontales y verticales exped. Pocas raíces finas en la parte superior del horizonte. Calcáreo. Límite gradual y difuso con el horizonte subyacente.

CY >73 Constituido por una marga yesífera, con nódulos blanquecinos de yeso.

PERFIL NUM. 102636b

CARACTERÍSTICAS MACROMORFOLOGICAS

Fecha de observación: 18 de diciembre de 1973.
Localización: La Mala.
Coordenadas: U.T.M.: 30SVG353-065.
Altitud: 780 m.
Posición fisiográfica: Fondo de Valle.
Topografía circundante: Ondulada.
Pendiente: Casi llano.
Vegetación o uso: Xerofítica.
Material original: Turbiditas.
Drenaje: Moderadamente bien drenado.
Condiciones de humedad: Totalmente seco.
Profundidad de la capa freática: Desconocida.
Pedregosidad: Sin piedras.
Afloramientos rocosos: Ausencia.
Erosión: Hídrica en surcos y cárcavas severa.
Influencia humana: Pastoreo.
Clasificación: Solonchaks órtico (F.A.O). Xerorthent típico (USDA).

Hor. Prof. cm. Descripción

A 0-8 Color pardo oliva (2,5Y 4/4) a humedad de campo. Presenta una textura franco arcillosa, con estructura migajosa fina. Su porosidad es media, con poros de todos los tipos y tamaños. Abundante contenido en carbonatos. Mediana actividad biológica. Abundantes raíces finas y muy finas. Límite neto con el horizonte subyacente.

C 8-150 Color pardo grisáceo (2,5Y 5/2), con manchas de color pardo amarillentas (10YR 5/6) a humedad de campo. Presenta una textura franco-arcillosa, con estructura masiva. Menos poroso que el horizonte anterior. Menos actividad biológica y menor contenido en raíces. Límite neto con el horizonte subyacente.

C2 >150 Material margoso, pardo grisáceo, muy masivo. Fuertemente calcáreo.

ARENOSOLES ALBICOS

Aunque no han sido estudiados, sí fueron cartografiados en el extremo oriental de la hoja y de forma más generalizada en los arenales de La Zubia, donde son explotados como fuente de áridos para la construcción. Corresponden a lo que ORTEGA (1979), en la columna litológica que describe en Balzain, define como niveles de “conglomerados con homometría muy patente. La matriz la constituyen areniscas y arenas muy abundantes, de manera que podría decirse, con mayor corrección, que estamos ante un nivel de areniscas y arenas que contiene algunos cantos de roca, color beig”.

En realidad, este nivel aparece más en las barranqueras que en el resto de la formación, donde se cubre por un conglomerado heterométrico, bien cementado y relativamente potente, de color gris, con lentejones de color rojo y matriz abundante (Unidad cartográfica).

Son por tanto suelos formados a partir de materiales no consolidados y textura gruesa, representados por un material álbico en una profundidad de 50 cm, sin otro horizonte de diagnóstico que un ócrico.

CAMBISOLES

Grupo de suelos fundamentado en la existencia de un horizonte B cámbico, sin otro horizonte de diagnóstico más que un ócrico, situado encima del cámbico, con grado de saturación superior al 50%, careciendo de propiedades sálicas.

Tres unidades hemos cartografiado en el ámbito de la hoja: Cambisoles vérticos, calcáricos y crómicos.

CAMBISOLES VÉRTICOS

Unidad localizada en las vaguadas y depresiones del cordón que une La Mala y Escuzar. Destacan en el paisaje por el fuerte matiz rojo que imprimen al conjunto y por el cambio de uso de los suelos, ya que desaparecen totalmente los olivos y domina el girasol alternado con los cereales.

Son suelos muy estructurados con grandes bloques prismáticos, muy duros en seco, consistencia plástica y adherentes en húmedo, sin gravas, con slikenside y grandes grietas; hay numerosos nódulos calcáreos que aumentan con la profundidad; en superficie hay eflorescencias y nodulaciones salinas, que repercuten en la elevación de la conductividad del extracto de saturación, sin que en ningún caso se pueda hablar de suelos salinos.

La capacidad de cambio es alta, como corresponde a suelos arcillosos ricos en arcillas hinchables; el complejo de cambio está saturado por calcio principalmente, el pH es básico y el contenido en macronutrientes alto, si se compara al resto de los suelos agrícolas. La capacidad de almacenamiento de agua útil para las plantas es alta.

PERFIL NUM. 1026-26

CARACTERÍSTICAS MACROMORFOLOGICAS

Fecha de observación: 16 de noviembre de 1990.
Localización: Cortijo Los Frailes (cantera de yeso).
Coordenadas: U.T.M.: 30SVG63006.
Altitud: 920 m.
Posición fisiográfica: Fondo de Valle.
Topografía circundante: Ondulado.
Pendiente: Inclinado.
Vegetación o uso: Matorral xérico.
Material original: Margas y yesos.
Drenaje: Imperfectamente drenado.
Condiciones de humedad: Seco.
Profundidad de la capa freática: Desconocida.
Pedregosidad: Escasas piedras (restos de alabastro).
Afloramientos rocosos: Ninguno.
Erosión: Hídrica laminar y en surcos, moderada.
Influencia humana: Canteras.
Clasificación: Cambisol vértico (FAO), Xerochrept vértico (USDA).

Hor. Prof. cm. Descripción
Ap 0-9 Color en seco pardo grisáceo (10YR 4/2) y en húmedo pardo grisáceo muy
oscuro (10YR 3/2). Textura arcillo limosa. Estructura granular fina, moderada.
Muy plástico, muy adherente, muy friable, blando. Poros intersticiales, exped,
abundantes. Poca grava, fundamentalmente de yeso, bien conservada.
Calcáreo. Intensa actividad biológica. Abundantes raíces medianas, finas y
muy finas. Límite brusco y plano.
Bw2 10-64 En seco presenta un color pardo (10YR 5/3) y en húmedo entre pardo y pardo
oscuro (10YR 4/3). Aparecen frecuentes eflorescencias de color blanco
recubriendo los peds y disminuyen en el interior de los mismos. Textura
arcillosa. Estructura prismática, bien desarrollada. Muy adherente, muy
plástico, friable, muy duro. Muchos poros, verticales y gruesos, otros
horizontales, más finos, exped. Pocos tubulares, abiertos, imped. Cutanes de
presión. Pocos fragmentos, de tamaño grava, naturaleza caliza. Frecuentes
nódulos y cristales de yeso. Calcáreo. Pocas raíces, finas y muy finas. Límite
brusco y ondulado.
Bwk 64-99 Color pardo en seco (10YR 5/3) y en húmedo entre pardo y pardo oscuro.
Textura arcillosa. Decrece el tamaño de los agregados que mantienen una
estructura prismática o angular. Muy plástico, muy adherente, friable y muy
duro. Decrece el número de poros verticales mientras que aumentan los
oblicuos, exped. Frecuentes, tubulares, horizontales, y oblicuos, abiertos,
finos, imped. Pocas gravas subredondeadas de naturaleza caliza. Abundantes
nódulos blanquecinos, algunos de ellos cementados. Calcáreo. Pocas raíces.
Límite ondulado y gradual.
2C 99-148 Marga con un alto contenido en arcilla; textura arcillo limosa, de color blanco en seco (10YR 8/3) y en húmedo pardo muy pálido (10YR 7/3); con algunos nódulos blanquecinos.
3R >148 Yesos (alabastro).

CAMBISOLES CALCICOS

Unidad de suelos con dos tipologías diferentes, ligadas al carácter litocromo y textura del material geológico.

Como el ambiente es mediterráneo y los suelos se dedican al cultivo de cereales, almendro y olivos, es el material original el que reconduce la evolución edáfica y define el tipo de perfil.

Sobre sustrato de arenisca y limos/arcillas rojas, los suelos se caracterizan por tener un perfil A-Bw-C, poco evolucionado, calcáreo o fuertemente calcáreo, con posibles acumulaciones de carbonato cálcico en el horizonte C, poco pedregoso, básico, con C.E.C. moderadamente alta y saturado el complejo de cambio por calcio, fundamentalmente. La textura y estructura varían con la granulome-tría del material original.

El otro tipo es un integrado con los Regosoles calcáricos, desarrollados sobre coluvios o calizas, conglomerados y lutitas.

En este caso el perfil, que presenta una secuencia de horizontes similar a la descrita anteriormente, se caracteriza por el color pardo, mayor pedregosidad y mayor erosión por el relieve menos plano de las superficies; el complejo de cambio es menos activo pero igualmente saturado; el pH y la secuencia de bases de cambio similar; finalmente es menor capacidad de retención de agua útil.

En la clasificación americana entran dentro del orden Inceptisols, dado el régimen de humedad, la existencia o no de nodulaciones calcáricas, horizonte cálcico y la profundidad del material lítico, quedan en subgrupos diferentes: xerochrepttípicos, líticos calcixeróllicos.

PERFIL NUM. 1026-10

CARACTERÍSTICAS MACROMORFOLOGICAS

Fecha de observación: 28 de junio de 1990.
Localización: Llanos de La Zubia a 800 m del Cortijo de Córvales.
Coordenadas: U.T.M.: 4487-41070.
Altitud: 965 m.
Posición fisiográfica: Cono de deyección.
Topografía circundante: Colinada.
Pendiente: Inclinado (6-13%).
Vegetación o uso: Cultivo de almendros.
Material original: Conglomerado calizo-dolomítico.
Drenaje: Imperfectamente drenado.
Condiciones de humedad: Húmedo a los 30 cm.
Profundidad de la capa freática: Desconocida.
Pedregosidad: Sin piedras.
Afloramientos rocosos: Muy pocos.
Erosión: Hídrica laminar moderada, con cultivos en franjas.
Influencia humana: Antropización por cultivo.
Clasificación: Cambisol cálcico (F.A.O). Xerochrept calcixeróllico (USDA).

Hor. Prof. cm. Descripción
Ap 0-23 Amarillo parduzco (10YR 6/6) en húmedo y amarillo (10YR 7/6) en seco. Textura franca. Estructura débil, en bloques subangulares finos. Ligeramente adherente, ligeramente plástico, muy friable en húmedo y blando en seco. Pocos fragmentos rocosos, de tamaño grava, naturaleza caliza, formas subredondeadas y poco alterados. Pocos poros, finos, imped. Pocas raíces, finas y muy finas. Muy calcáreo. Límite neto y plano con el horizonte subyacente.
Bwk 23-55 Pardo amarillento a amarillo parduzco (10YR 5,5/6) en húmedo y amarillo parduzco (10YR 6/6) en seco. Textura franco limosa. Estructura moderada fuerte, en bloques subangulares de medianos a gruesos. Ligeramente adherente, ligeramente plástico, muy friable en húmedo y blando en seco. Pocos fragmentos rocosos, de naturaleza caliza. Presenta un moteado de color blanquecino de CO3Ca y pseudomicelios. Pocas raíces, medianas y finas, y muy pocas gruesas. Aparecen restos de galerías de insectos. Muy calcáreo. Límite gradual e irregular con el horizonte inferior.
C >55 Constituido por un conglomerado calcáreo de potencia superior a los 2 m.

PERFIL NUM. 1026-13

CARACTERÍSTICAS MACROMORFOLOGICAS

Fecha de observación: 29 de junio de 1990.
Localización: A 500 m del Cortijo de Marchalejo.
Coordenadas: U.T.M.: 30SVF393034.
Altitud: 780 m.
Posición fisiográfica: Pendiente convexa.
Topografía circundante: Colinada.
Pendiente: Suavemente inclinado.
Vegetación o uso: Cultivo de cereales.
Material original: Areniscas.
Drenaje: Imperfectamente drenado.
Condiciones de humedad: Húmedo a los 45 cm.
Profundidad de la capa freática: Desconocida.
Pedregosidad: Sin piedras.
Afloramientos rocosos: Muy pocas rocas.
Erosión: Hídrica laminar y eólica moderada.
Influencia humana: Antropización por cultivo.
Clasificación: Cambisol cálcico (F.A.O). Xerochrept típico (USDA).

Hor. Prof. cm. Descripción

Ap 0-23 Pardo (10YR 5/3) en húmedo y pardo pálido a pardo muy pálido (10YR 6,5/3) en seco. Textura franca. Estructura moderada, en bloques subangulares medianos. Ligeramente adherente, ligeramente plástico, muy friable en húmedo y blando en seco. Muy pocos fragmentos rocosos, de naturaleza caliza, formas subredondeadas, tamaño grava. Abundantes poros, finos, imped, caóticos. Abundantes raíces muy finas y pocas finas. Fuertemente calcáreo. Límite neto y plano con el horizonte subyacente.

Bw 23-76 Pardo amarillento (10YR 5/4) en húmedo y pardo amarillento débil (10YR 6/4) en seco. Textura franca. Estructura fuerte, en bloques subangulares medianos a gruesos. Ligeramente adherente, ligeramente plástico, muy friable en húmedo y blando en seco. Muy pocos fragmentos rocosos, de naturaleza margocaliza, formas angulares. Frecuentes poros. Abundantes raíces, finas y muy finas. Calcáreo. Límite plano y neto con el horizonte C.

C >76 Formado por un material areniscoso de color pardo oliva débil (2,5Y 5/4) en húmedo y pardo amarillento débil a amarillo pálido (2,5Y 6,5/4) en seco, cementado por carbonatos. Textura arenoso franca. Ligeramente adherente, ligeramente plástico, muy friable en húmedo y blando en seco.

PERFIL NUM. 1026-16

CARACTERÍSTICAS MACROMORFOLOGICAS

Fecha de observación: 16 de noviembre de 1990.
Localización: Al Sur de Romilla Nueva.
Coordenadas: U.T.M.: 30SVG287133.
Altitud: 640 m.
Posición fisiográfica: Pendiente.
Topografía circundante: Ondulado a fuertemente ondulado.
Pendiente: Inclinado.
Vegetación o uso: Cultivo de cereales.
Material original: Conglomerado calizo.
Drenaje: Moderadamente bien drenado.
Condiciones de humedad: Seco.
Profundidad de la capa freática: Desconocida.
Pedregosidad: Sin piedras.
Afloramientos rocosos: Ninguno.
Erosión: Hídrica laminar y en surcos.
Influencia humana: Labores.
Clasificación: Cambisol cálcico (F.A.O). Xerochrept calcixerollico (USDA).

Hor. Prof. cm. Descripción

Ap 0-20 Color rojo amarillento en seco (5YR 5,5/6) y en húmedo amarillo rojizo (5YR 4/6). Textura franco arcillosa. Estructura granular de mediana a gruesa, moderada. Muy adherente, muy plástico, friable y duro. Frecuentes poros, intersticiales y tubulares. Frecuentes gravas, finas. Fuertemente calcáreo. Presencia de hormigueros, escarabeidos, nidos de insectos y huellas de lombrices. Frecuentes raíces, finas y muy finas. Límite inferior brusco y plano.

Bw 20-39 Color en seco rojo amarillento (5YR 5/6) y más oscuro en húmedo (5YR 4/6). Textura franco arcillosa. Estructura en bloques subangulares gruesos, moderada. Muy adherente, muy plástico, friable y muy duro. Pocos poros, tubulares, finos y muy finos. Aumenta ligeramente el contenido de gravas y el tamaño de las mismas, que son redondeadas, de naturaleza calcárea y con distinto grado de conservación. Calcáreo. Pocas raíces, finas y muy finas. Límite inferior brusco y plano.

B/Ck1 39-67 Color en seco rojo (2,5YR 5/6), algo más oscuro en húmedo (2,5 YR 4/6) y con abundantes nódulos y eflorescencias de color rosa (5YR 8/3). Franco arenoso. Se observa una estratificación con bancos de 2 a 3 centímetros, formados por gravas calizas, generalmente alteradas, que presentan un suave buzamiento hacia el Norte.

2Ck2 >67 Horizonte formado por gravas, de textura franco arcillosa y piederas normalmente tapizadas por un depósito calizo, blanco, pulverulento. Están englobadas en una matriz arcillosa de color rojo (2,5YR 5/6) que pasa a rojo oscuro en húmedo (2,5YR 3/6). Son muy abundantes los nódulos y eflorescencias calcáreas.

PERFIL NUM. 1026-17

CARACTERÍSTICAS MACROMORFOLOGICAS

Fecha de observación: 13 de noviembre de 1990.
Localización: Al N. del Boldonar.
Coordenadas: U.T.M.: 30SVG253135.
Altitud: 650 m.
Posición fisiográfica: Pendiente convexa.
Topografía circundante: Ondulada.
Pendiente: Suavemente inclinado.
Vegetación o uso: Cereales.
Material original: Margocalizas.
Drenaje: Moderadamente bien drenado.
Condiciones de humedad: Seco.
Profundidad de la capa freática: Desconocida.
Pedregosidad: Nula.
Afloramientos rocosos: No hay.
Erosión: Hídrica en surcos moderada y laminar débil.
Influencia humana: Labor.
Clasificación: Cambisol cálcico (F.A.O). Xerochrept thapto-alfico (USDA).

Hor. Prof. cm. Descripción
Ap 0-31 Color en seco pardo amarillento (10YR 6/4), que pasa a pardo amarillento (10YR 5/4) en húmedo. Textura arcillosa. Estructura granular media, moderada. Muy plástico, muy adherente, friable y duro. Poros comunes, finos, horizontales, oblicuos, intersticiales. Calcáreo. Frecuentes raíces, finas y muy finas. Límite inferior gradual y plano.
Bw 31-57 Color en seco entre amarillo pardo y pardo amarillento, algo más oscuro en húmedo (10YR 5/5); hay manchas rojizas. Textura arcillosa. Estructura en bloques subangulares medianos, moderada. Muy adherente, muy plástico, friable, muy duro. Pocos poros, tubulares, finos y medianos. Aumentan las gravas, son de naturaleza caliza y poco tamaño. Calcáreo. Comunes raíces. Límite inferior neto y ondulado.
C 57-76 Margocaliza amarillenta y muy dura cuando seca. Es muy plástica y muy adherente. Presenta en seco un color entre amarillo y pardo muy pálido. Hay algunas manchas rojas, de color (2,5YR 5/6) son difusas, con distribución zonal. Pocas raíces. Límite neto y ondulado.
2Btb 76-107 Color en seco rojo amarillento (5YR 5/6), más oscuro en húmedo (5YR 4/6). Textura arcillosa. Estructura en bloques prismáticos medianos, fuerte. Muy adherente, muy plástico, friable y muy duro. Hay cutanes de iluviación, arcilloso férricos, alrededor de las gravas y piedras y en las grietas. Muy pocas raíces frecuentes poros, verticales, oblicuos y horizontales, medianos. Grava fina. Calcáreo. Pocas raíces finas.

2C >107 Conglomerado heterométrico con escasa matriz amarillo rojiza (7,5YR 7/8) en seco, franco arenosa y abundantes fragmentos metamórficos, heterométricos, no calcáreos con límite neto y plano con otro nivel conglomerático más grisáceo.

PERFIL NUM. 1026-24

CARACTERÍSTICAS MACROMORFOLOGICAS

Fecha de observación: 16 de noviembre de 1990.
Localización: 2 km. al Oeste de Romilla la Nueva.
Coordenadas: U.T.M.: 30SVG283137.
Altitud: 640 m.
Posición fisiográfica: Ladera convexa.
Topografía circundante: Ondulado.
Pendiente: Inclinado.
Vegetación o uso: Cereales.
Material original: Areniscas.
Drenaje: Moderadamente bien drenado.
Condiciones de humedad: Seco.
Profundidad de la capa freática: Desconocida.
Pedregosidad: Muy pocas piedras.
Afloramientos rocosos: No.
Erosión: Hídrica en surcos, moderada.
Influencia humana: Cultivo.
Clasificación: Cambisol cálcico (F.A.O). Xerochrept típico (USDA).

Hor. Prof. cm. Descripción
Api 0-18 Color rojo en seco (2,5YR 4,5/6) y rojo oscuro en húmedo (2,5YR 3/6). Textura arcillosa. Muy plástico, muy adherente, friable y duro. Estructura granular fina, moderada. Calcáreo. Pocos poros, tubulares, imped. Más frecuentes, intersticiales, exped. Pocas gravas, muy finas, de naturaleza caliza, bien conservadas. Muchas raíces, finas y muy finas. Límite inferior plano y neto.
Ap2 18-35 Con igual color que el horizonte superior y de textura franco arcillosa. La estructura es granular media, bien desarrollada. Muy adherente, muy plástico, friable, duro. Calcáreo. Muchas raíces, finas y muy finas. Son numerosos los hormigueros que llegan hasta el contacto con el horizonte Bwk1. Aumentan las gravas y son de igual naturaleza que en el horizonte superior. Límite inferior brusco y plano.
Bwk1 35-67 Color rojo en seco (2,5YR 4,5/6) y rojo oscuro en húmedo (2,5 3/6). Son muy abundantes los nódulos calcáreos y muy difusos, de color blanco, que impregnan la matriz enmascarando el color rojo más intenso del horizonte, como se puede observar en las zonas no contaminadas. Textura franco arcillosa. Estructura en bloques entre angulares y subangulares, mediana, de desarrollo moderado. Muy plástico, muy adherente, friable, muy duro. Abundantes calcanes. Pocos poros, tubulares, intersticiales y oblicuos, exped, todos ellos finos y muy finos. Aumenta el contenido de las gravas, son de naturaleza caliza y están escasamente meteorizadas. Límite gradual y plano.
Bwk2 67-75 En seco presenta color rojo (2,5 4/6) y en húmedo rojo más oscuro (2,5YR
3/7). Textura franco arcillosa. Estructura en bloques subangulares a angulares,
algo más desarrollada que en el horizonte Bwk1. Muy plástico, muy adherente,
friable y muy duro. Pocos poros, intersticiales, tubulares, imped. Otros
oblicuos, exped, en mayor número. Pocas gravas, calizas, no o
moderadamente alteradas. Nódulos de carbonato menos intensos y más
zonales que en el horizonte Bw1. Ausencia de raíces. Límite inferior neto y
plano.
C >75 Material areniscoso, muy masivo, de color rojo (2,5YR 5/6) y algo más oscuro
en húmedo (2,5YR 4/6).

PERFIL NUM. 1026-35

CARACTERÍSTICAS MACROMORFOLOGICAS

Fecha de observación: 16 de noviembre de 1990.
Localización: Dos km al Este de Acula.
Coordenadas: U.T.M.: 30SVG305050.
Altitud: 750 m.
Posición fisiográfica: Planicie.
Topografía circundante: Plano.
Pendiente: Casi llano.
Vegetación o uso: Cultivos de secano.
Material original: Margas.
Drenaje: Moderadamente bien drenado.
Condiciones de humedad: Humedad de campo.
Profundidad de la capa freática: Desconocida.
Pedregosidad: Algunas gravas.
Afloramientos rocosos: No.
Erosión: Hídrica, laminar y eólica fuerte.
Influencia humana: Labores.
Clasificación: Cambisol cálcico (F.A.O). Xerochrept calcixerollico (USDA).

Hor. Prof. cm. Descripción
Ap 0-21 Color en seco amarillo rojizo (7,5YR 7/6), algo más oscuro en húmedo (7,5YR 6/6). Textura franca. Estructura granular gruesa, fuerte. Adherente, plástico, friable y duro. Frecuentes poros, tubulares, cerrados, finos y medianos, otros intersticiales, finos, imped. Abundantes gravas, calizas, sin meteorizar. Calcáreo. Abundantes raíces, medianas, finas y muy finas. Límite irregular. Neto.
Bw 21-61 Color rojo (2,5YR 5/6) en seco y algo más oscuro en húmedo (2,5YR 4/6). Textura franco arcillosa. Estructura en bloques subangulares medianos, bien desarrollada. Muy plástico, muy adherente, muy duro y friable. Cutanes de presión. Abundantes poros intersticiales y algunos tubulares, imped. Abundantes gravas, calizas, con distinto grado de meteorización. Fuertemente calcáreo. Decrecen las raíces respecto al horizonte Ap. Límite gradual y plano.
2Bwk1 61-88 Rojo claro en seco (2,5YR 6/8) y rojo (2,5YR 5/8) en húmedo; anchas difusas de color blanco y nodulares. Textura franco arcillosa. Estructura en bloques subangulares, fuerte. Muy adherente, muy plástico, friable y muy duro. Cutanes de presión. Frecuentes poros, intersticiales, finos, imped. Algunos oblicuos, exped. Pocas gravas, muy finas, de naturaleza caliza. Fuertemente calcáreo. Pocas raíces, finas y muy finas. Límite gradual.
2Bwk2 88-105 Color rojo débil en seco (2,5YR 6/6) y rojo en húmedo (2,5YR 5/6), con frecuentes nódulos y pseudomicelios de CO3Ca. Textura franco arcillosa. Estructura en bloques angulares a subangulares, medianos. Muy plástico, muy

adherente, muy duro y friable. Cutanes de presión frecuentes. Pocos poros, intersticiales y caóticos, frecuentes. Pocos tubulares, finos, imped. Aumentan las gravas respecto al horizonte anterior. Fuertemente calcáreo, muy pocas raíces. Límite gradual y plano.

BC Rojo débil en seco (2,5YR 6/7) y rojo en húmedo (2,5YR 5/8); sin manchas. Textura franca. Mezcla de una matriz con estructura en bloques subangulares finos y gravas calcáreas, heterométricas, redondeadas y angulares, bien conservadas. Calcáreo.

CAMBISOLES CRÓMICOS

Reducen su presencia al entorno de Agrón, extendiendo su dominio al S y al E del pueblo. Desarrollan sobre micasquistos de tonalidades diferentes pero con clara evidencia de exudado férrico.

Consta de un epipedón ócrico al que subyace un horizonte cámbico, de matiz más rojo y textura más fina, además del grado de desarrollo estructural más consolidado.

El contenido en materia orgánica y aquella de los distintos horizontes, justifica el incremento de capacidad de cambio que se produce en el horizonte Bw; ésta es moderada y presenta al calcio como el catión preferencial, a gran distancia del magnesio como de las demás bases. El suelo no está saturado al 100%, tiene un pH ligeramente básico, no es calcáreo y presenta una capacidad de retención de agua útil moderadamente alta.

En la clasificación americana encajan dentro de los Xerorthent típicos o líticos, dependiendo de la profundidad del material original y del grado de consolidación.

Se corresponden con los Xerochrept típicos o líticos de la Soil Taxonomy.

PERFIL NUM. 1026-42

CARACTERÍSTICAS MACROMORFOLOGICAS

Fecha de observación: 17 de noviembre de 1990.
Localización: Al Este de Agrón.
Coordenadas: U.T.M.: 30SVF258987
Altitud: 1200 m.
Posición fisiográfica: Ladera cóncava.
Topografía circundante: Al Este montañoso y colinada al Oeste.
Pendiente: Inclinada.
Vegetación o uso: Almendros.
Material original: Micaesquistos.
Drenaje: Bien drenado.
Condiciones de humedad: Seco.
Profundidad de la capa freática: Desconocida.
Pedregosidad: Ligeramente pedregoso.
Afloramientos rocosos: Ausencia.
Erosión: Hídrica en surcos.
Influencia humana: Labores agrícolas.
Clasificación: Cambisol crómico (F.A.O). Xerochrept típico (USDA).

Hor. Prof. cm. Descripción
Ap 0-29 Color en seco pardo fuerte (7,5YR 5/6) y más oscuro en húmedo (7,5YR 4/8). Estructura en bloques subangulares finos a medianos, moderada. Textura franco limosa. Ligeramente adherente. Ligeramente plástico, friable y blando. Pocas gravas y sin meteorizar, son micaesquistos y cuarcitas. No calcáreo, raíces comunes, finas. Límite neto y plano.
Bw 29-54 Color rojo amarillento en seco (5YR 5/6) y pardo rojizo en húmedo (5YR 4/4). Textura franca arcillo limosa. Estructura en bloques angulares o subangulares medianos, moderada. Adherente, plástico, friable y ligeramente duro. Algunos poros, intersticiales, exped, otros tubulares, cerrados, imped. Frecuentes gravas de igual naturaleza que en el horizonte Ap, si bien se observa alguna dolomía. No calcáreo. Pocas raíces y de poco desarrollo. Límite neto y plano.
R >54 Micaesquistos algo saprolitizados en el contacto con el horizonte Bw.

PERFIL NUM. 1026-28

CARACTERÍSTICAS MACROMORFOLOGICAS

Fecha de observación: 16 de noviembre de 1990.
Localización: Cortijo de Los Llanos.
Coordenadas: U.T.M.: 30SVG265966.
Altitud: 1020 m.
Posición fisiográfica: Casi plano.
Topografía circundante: Fuertemente ondulado.
Pendiente: Casi llano.
Vegetación o uso: Encinar pastizal.
Material original: Calizas dolomíticas.
Drenaje: Bien drenado.
Condiciones de humedad: Seco.
Profundidad de la capa freática: Desconocida.
Pedregosidad: Pedregoso.
Afloramientos rocosos: Muy rocoso.
Erosión: Hídrica en surcos severa y laminar moderada.
Influencia humana: Ninguna.
Clasificación: Cambisol crómico (F.A.O). Xerochrept típico (USDA).

Hor. Prof. cm. Descripción

Ap 0-11 Color pardo rojizo oscuro en seco (2,5YR 3/4) y más oscuro en húmedo 92,5YR 2,5/4). Textura franco arcillosa. Estructura granular media a bloques subangulares medianos, moderada. Muy plástico, adherente, muy friable, blando y ligeramente duro. No calcáreo. Algunos poros, tubulares, cerrados, imped. Frecuentes, intersticiales, exped. Pocas gravas, calizas, bien conservadas. Abundantes raíces, medianas, finas y muy finas. En el interior de los peds se observan manchas de restos orgánicos carbonizados (antracones). Límite brusco y plano.

Bw 11-32 Color en seco rojo oscuro (2,5YR 3/6) y más oscuro en húmedo (2,5YR 2,5/6). Textura arcillosa. Estructura en bloques subangulares a angulares, medianos, bien desarrollada. Muy plástico, muy adherente, friable y duro. No calcáreo. Poros tubulares, cerrados y otros más abundantes, intersticiales, imped. No hay cutanes, muy pocas gravas, muy finas, de la misma naturaleza que en el horizonte Ap. Muy pocas raíces, finas y muy finas. Límite inferior interrumpido.

BC >32 Mezcla de piedras y pedregones de naturaleza calizo dolomítica, karstificadas, con una matriz roja equivalente a la del horizonte BW.

LUVISOLES

Grupo de suelos muy llamativos por su intenso color rojo y la extensión de terreno que ocupan. Poseen un horizonte árgico, saturado en bases y puede subyacerle o no un horizonte cálcico o petrocálcico, de ahí la diferenciación de las dos unidades: Luvisoles cálcicos y Luvisoles crómicos.

LUVISOLES CALCICOS

Suelos con horizonte cálcico y árgico, mostrando intenso matiz rojo, que los lleva en la clasificación americana al gran grupo de los Rhodoxeralf.

Las distintas tipologías vienen condicionadas por la roca madre. Dominan los suelos rojos desarrollados sobre niveles del conglomerado de las Formaciones de Pinos Genil (Block Formation) y de la Alhambra, que reposan discordantes entre sí o directamente sobre los limos, arenas y arcillas, miocenas. Aunque remota (IGME, 1980), cabe la posibilidad de que ambos episodios sean equivalentes; lo cierto, a nivel edáfico, es que en el ambiente mediterráneo que nos ocupa, generan Luvisoles con horizonte cálcico, cuando el terreno circundante es calizo o dolomítico. Si la distancia respecto del borde de la cuenca es grande, dominan los Luvisoles crómicos.

Las características morfológicas y químicas son semejantes a las descritas para los Luvisoles en la zona limítrofe de la hoja de Dúrcal (LUCDEME 1986); aquí por su interés y extensión, hacemos especial mención a los paleosuelos detectados en los alrededores de Dílar y Nigüelas, siempre intercalados en la columna estratigrafía y con varios niveles relictos; coronando la serie hay un conglomerado allí donde la erosión ha sido más intensa, o suelos actuales en las zonas más protegidas.

Por el interés cronoedáfico transcribimos el corte descrito por AGUILAR et al. (1981).

PERFIL NUM. 1026-7

CARACTERÍSTICAS MACROMORFOLOGICAS

Fecha de observación: Aguilar et al. 1981.
Localización: Otura.
Coordenadas: U.T.M. 30SVG443053.
Altitud: 700 m.
Posición fisiográfica: Pendiente convexa.
Forma del terreno circundante: Ondulado.
Pendiente: 4%.
Orientación: S-SE.
Vegetación: Cultivo de trigo.
Condiciones de humedad: Seco en todo el perfil.
Drenaje: Moderadamente bien drenado.
Erosión: De mediana a débil.
Pedregosidad: Clase 0.
Material originario: Sedimentos Pliocenos.

Hor. Prof. cm. Descripción
Ap, B 0-30 Suelo pardo calizo actual. Color amarillo rojizo (5YR 7/7) en seco, con revestimientos exteriores de color (2,5YR 4/6). Está constituido por sedimentos muy calizos. Presenta una textura areno limosa y una estructura en bloques angulares muy grandes. Muy cementado. Alternancia de capas con cantos poligé-nicos de calizas oolíticas y cuarcitas. Límite plano y neto.

IIBt 190-192 Capa de grava.

192-254 Color rojo (2,5YR 4/8) en seco. Textura franco arcillo-arenosa y estructura en bloques angulares con grado de desarrollo de moderado a débil y de tamaño grande a muy grande. Presencia de cutanes con aspecto de férricos. Pocos poros en el interior de los agregados, principalmente tubulares y vesiculares; muchos poros intersticiales muy finos y continuos. Abundantes fragmentos de micaesquistos redondeados y de tamaño grava. Límite neto con el horizonte subyacente.

IICca 254-340 Color rosa (5YR 8/3) en seco, con manchas de color pardo rojizo claro (5YR 6/4) y revestimientos de color rojo amarillento (5YR 5/8). Textura franco arenosa y estructura en bloques subangulares medianos y finos, dan la impresión de concreciones cementadas entre sí por CO3Ca, son muy duras en seco. Existen penetraciones de óxido de hierro situadas en antiguos poros intesticiales que lo tiñen de rojo.

IIIBt 340-410 Horizonte muy similar al IIBt pero con vetas carbonatadas de color más claro y más húmedo. Textura franca y estructura en bloque angulares con grado de desarrollo de moderado a débil y de tamaño grande a muy grande.

IlICca 410-436 En todo parecido al horizonte HCca aunque de menor potencia. Límite neto.

IVBT 436-480 Igual al horizonte IIIB pero con más inclusiones negras de manganeso y mayor
cantidad de vetas carbonatadas. Límite neto.
IVCca 480-580 Igual al horizonte IIICca pero con encostramientos duros de CO3Ca en la
superficie de los peds.

PERFIL NUM. 1026-8

CARACTERÍSTICAS MACROMORFOLOGICAS

Fecha de observación: 17 de junio de 1990.
Localización: Margen derecha carretera Otura-Dilar, a 1 Km. de Dilar.
Coordenadas: U.T.M. 30SVG457042
Altitud: 820 m.
Posición fisiográfica: Planicie.
Topografía circundante: Colinado.
Pendiente: Llano (0-2%).
Vegetación o uso: Cultivo de almendros.
Material original: Conglomerado de la Block Formation.
Drenaje: Imperfectamente drenado.
Condiciones de humedad: Seco en todo el perfil.
Profundidad de la capa freática: Desconocida.
Pedregosidad: Moderadamente pedregoso.
Afloramientos rocosos: Muy pocas rocas.
Erosión: Hídrica laminar débil.
Influencia humana: Antropización por cultivo.
Clasificación: Luvisol cálcico (F.A.O). Rhodoxeralf cálcico (USDA).

Hor. Prof. cm. Descripción

Ap 0-10 Rojo (2,5YR 4/6) en húmedo y rojo (2,5YR 5/6) en seco. Textura franco arcillosa. Estructura moderada/fuerte de granular a bloques subangulares finos. Adherente; plástico; friable en húmedo y duro en seco. Algunos cutanes. Frecuentes poros finos y muy finos. Pocos fragmentos rocosos de tamaño grava y naturaleza cuarcítica. La matriz del suelo es muy calcárea. Raíces comunes finas y muy finas. Existen galerías de hormigas. Límite gradual e irregular con el horizonte inferior.

Bt 10-31 Rojo (2,5YR 4/6) en húmedo y rojo (2,5YR 5/6) en seco. Textura franco arcillosa. Estructura fuerte en bloques subangulares. Adherente; plástico; friable en húmedo y duro en seco. Cutanes finos, zonales, de arcilla e hierro. Frecuentes fragmentos rocosos de igual forma, tamaño y naturaleza que en el horizonte superior. La matriz del suelo también es muy calcárea. Abundantes raíces finas y presencia de galerías de insectos. Límite neto e irregular con el horizonte subyacente.

B/Ck 31-43 Constituido por una mezcla de la matriz del horizonte Bt con un color pardo rojizo débil (2,5YR 6/4) en seco y englobada en algunas zonas por el horizonte inferior que es discontinuo y que presenta penetraciones de la matriz anteriormente indicada. Textura franco arcillosa. Estructura moderada en bloques subangulares medianos a gruesos. Ligeramente adherente; ligeramente plástico, muy friable en húmedo y ligeramente duro en seco. Aumenta el contenido en gravas con respecto al horizonte superior. Muy calcáreo. Límite neto y plano con el horizonte subyacente.

Ck >43 Constituido por una capa de acumulación de CaCO3 secundario, con pocas gravas de naturaleza caliza.

LUVISOLES CRÓMICOS

Suelos que presentan exclusivamente un horizonte árgico con un fuerte matiz rojo, sin otro horizonte de diagnóstico que un ócrico.

El complejo de cambio está saturado en más del 50%, llegando en muchos casos al 100%. Calcio y magnesio, por éste orden, son las bases de cambio dominantes; la conductividad es muy baja, el pH neutro y se torna algo ácido en las proximidades de la roca madre (micaesquistos con cuarcitas o conglomerados ricos en cantos heterométricos, de esta misma naturaleza).

Los suelos pueden estar ligeramente carbonatados en superficie pero no son calcáreos en profundidad.

PERFIL NUM. 1026-9

CARACTERÍSTICAS MACROMORFOLOGICAS

Fecha de observación: 27 de junio de 1990.
Localización: En el Collado del Tejarillo.
Coordenadas: U.T.M.: 4.517-41.053.
Altitud: 1300 m.
Posición fisiográfica: Pendiente convexa.
Topografía circundante: Fuertemente ondulado.
Pendiente: Inclinado.
Vegetación o uso: Repoblación de pinos, con ulex y cistus.
Material original: Micaesquistos.
Drenaje: Imperfectamente drenado.
Condiciones de humedad: Húmedo a los 40 cm.
Profundidad de la capa freática: Desconocida.
Pedregosidad: Muy pocas piedras.
Afloramientos rocosos: Muy pocos.
Erosión: Hídrica laminar y en surcos. Cárcavas corregidas por diques.
Influencia humana: Repoblación de pinos.
Clasificación: Luvisol crómico (F.A.O). Haploxeralf típico (USDA).

Hor. Prof. cm. Descripción

O 2-0 Formado por una capa de acículas de pino poco descompuestas y algunas ramas.

A 0-12 Pardo oscuro (7,5YR 4,5/6) en húmedo y amarillo rojizo (7,5YR 6/6) en seco. Textura franco arenosa. Estructura granular, débil. Ligeramente adherente, ligeramente plástico, suelto en húmedo y blando en seco. Frecuentes fragmentos rocosos, tamaño grava de micaesquistos con algunas cuarcitas. No calcáreo. Poros finos y caóticos. Pocas raíces finas y muy pocas gruesas. Límite neto y ondulado con el horizonte subyacente.

Bt 12-55 Rojo (2,5YR 4/6) en húmedo y rojo (2,5YR 5/6) en seco. Textura arcillosa. Estructura fuerte, en bloques prismáticos. Adherente, plástico, friable en húmedo y duro en seco. Frecuentes fragmentos rocosos, son micaesquistos, muy meteorizados de tamaño grava o más gruesos, con algunas cuarcitas. Abundantes cutanes. Frecuentes poros, horizontales y verticales, exped; pocos poros, finos y muy finos, imped. No calcáreo. Abundantes raíces medianas y algunas gruesas. Límite gradual e irregular con el horizonte subyacente.

BC >55 Aún dentro de los 100 cm hay restos de la matriz rojiza del horizonte superior pero con elevado contenido en fragmentos de micaesquistos, muy saprolitizados, que a mayor profundidad se van separando de la matriz. Textura arcillosa/franco arcillosa. Estructura fuerte, en bloques angulares. Adherente, plástico, friable en húmedo y duro en seco. Abundantes raíces, medianas y finas, que se extienden por debajo de los 100 cm. No calcáreo.

R Micaesquistos.

FOTOGRAFÍAS
DE
PERFILES

Aspecto de la Unidad 31 sobre esquistos Cambisol crómico (perfil 1026-28), procedente de arcillas de descalcificación.

Área de encinar de la Unidad 38 Explotación de áridos en la Sierra del Manar

Área de la Unidad 20: deslizamiento en masa. Contacto entre las Unidades 12 y 13

Contacto entre la Unidad 12 (Atalaya) y la 20.
Se observan senderos de ganado.

Histosol fíbrico (perfil 1026-3) en la turbera del Padul

Aspecto de la turbera del Padul Fluvisol calcárico perteneciente a la Unidad 1.

Unidad 1. Paisaje de la Vega del Genil a la altura de Cenes de la Vega.

V. UNIDADES CARTOGRÁFICAS

UNIDAD 1

Unidad de Fluvisoles calcáneos con inclusión de Regosoles calcáneos.

Los ríos Genil y Dúrcal, junto al arroyo Chimeneas, son los cauces mayores que oradan el área de la hoja de Padul y no tienen propiedades sálicas.

Los suelos, muy antropizados, se dedican a una agricultura muchas veces de subsistencia, con cultivos hortícolas y frutales respectivamente.

Evolucionan a partir de aportes aluviales recientes, con una secuencia de aluviamientos definida por la presencia de distintos horizontes C, discordantes por su granulometría y contenido en materia orgánica.

En superficie, como ya se ha descrito en los perfiles n.g 1.026-11 y 1.026-12, muestran un horizonte Ap bastante profundo, de textura entre franco limosa y franco arenosa, con manto freático bastante profundo y una capacidad de reserva útil para la planta moderada a alta.

En las orillas los suelos están aparatados, son más limosos y no presentan aportes recientes por lo que se clasifican como Regosoles calcáricos, dado el contenido en carbonato cálcico.

UNIDAD 2

Unidad de Fluvisoles calcáricos y Solonchaks órticos con inclusión de Regosoles calcáricos.

Suelos formados sobre depósitos aluviales recientes o no, con o sin alto grado de salinidad, que pueden presentar horizonte cálcico o gípsico.

Subyacentes a la secuencia turbidítica/evaporítica, base de la unidad cartográfica circundante, hay margas grises azuladas de origen marino, como se demuestra por la abundante fauna existente (especialmente foraminíferos, según DABRIO et al. 1972), que están cubiertas en los alrededores de la

Mala por sedimentos aluviales sobre los que se asienta el mencionado pueblo; las margas son las responsables de la salinidad de las aguas que vierte el arroyo Salado y justifica tanto las explotaciones salinas existentes en el pueblo, como la presencia de Solonchaks (Perfil 1.026-36b), descritos por SIMON (1978), que permiten diferenciar esta unidad edáfica de otras desarrolladas sobre materiales aluviales.

Los Fluvisoles pueden tener ciertas propiedades sálicas, pero como este carácter no lo incluye en la taxonomía de FAO (1981) los clasificamos como calcáneos.

UNIDAD 3

Oe / Od

Unidad constituida por la asociación de Histosoles térricos y fíbricos. Los Histosoles se asimilan a las tuberas que ocupan la depresión del Padul y poseen un manto freático oscilante. En la actualidad está en explotación para la obtención de fertilizantes nitrogenados y

de materiales básicos utilizados como los filtros biológicos en los pozos negros. Los Histosoles están enterrados en los bordes de la cuenca y son explotados agrícolamente. Hacia el centro, la turbera aparece cubierta de juncos y carrizales, muy tupidos, rotos allí donde se

extrae actualmente la turba. La clasificación de estos suelos orgánicos resultó difícil, pues son distintos histosoles enterrados y los horizontes orgánicos presentan pH mayores o menores de 5,5, según el nivel y utilización en la Depresión.

UNIDAD 4

I / RI

Asociación de Litosoles y Regosoles litosólicos.

Se extiende preferentemente por el SE de la Hoja, S.ª del Manar, con proyección hacia el oeste en forma de cuña. Despuntan el Cerro de la Chaja (1513 m.), los Miradores (1536 m.), Alto de los Pollos (1559 m.), la Buitrera (1636 m.), etc., descendiendo bruscamente hasta la cota de los 100 metros.

Se trata por tanto de un terreno montañoso, accidentado y áspero, con una cubierta vegetal de pinos y aulagas que protegen poco más del 40% de la superficie; en algún punto se espesa el matorral y puede aparecer un incipiente móllico, categoría que no adquiere fácilmente por falta de potencia (<10 cm.).

La composición lítica es la base de dolomías y mármoles dolomíticos, muy kakiritizados, con tramos calizos asociados en algunos puntos a micasquistos (Tajos de Bazán).

En el extremo suroccidental, las calizas alternan con otros materiales detríticos y calcarenitas, que por su bondad se explotan industrialmente; son frecuentes las canteras en todo el ámbito de la unidad.

Morfológicamente los suelos se caracterizan por tener un epipedón ócrico de pocos centímetros, de textura arenosa, biológicamente poco activos salvo en zonas de umbría, calcáreo o fuertemente calcáreo, con una capacidad de almacenaje de agua útil para la planta muy baja.

Los suelos se encuentran en fase lítica y pedregosa.

UNIDAD 5

Unidad de Litosoles y Regosoles litosólicos con inclusiones de Rendsinas y Kastanozems cálcicos.

Aparece en la parte central de la Depresión de Granada, allí donde el relieve se eleva y afloran los materiales dolomíticos del Trias Alpujárride.

Estos materiales, bastantes puros, son el fundamento de la edafología de la unidad, con dominio de suelos esqueléticos: Regosoles litosólicos y Litosoles, que cobijan en las concavidades suelos más evolucionados, ricos en materia orgánica (Rendsinas) o producto de la decarbonatación de las arcillas (suelos litosólicos rubefactados). En algunas zonas se pueden detectar la presencia de un horizonte cálcico (Kastanozems cálcico).

La cobertura vegetal es de encinas y pinos con un matorral de jara.

Los suelos están en fase lítica y pedregosa.

UNIDAD 6

Unidad de Litosoles y Regosoles litosólicos con inclusión de Arenosoles álbicos y Xerosoles cálcicos.

Ocupa los llanos de La Zubia y se cimenta sobre un depósito conglomerático, definido por el gran cono de deyección (I.G.M.E., 1980) que tiene su vértice en la Fuente del Hervidero y se extiende desde el Barranco de la Negra al Barrio del Genital de Monachil, con un desnivel inferior al 10%. Subyacente hay un gran paquete de gravas y arenas, en niveles alternantes, de potencia variable, que son actualmente objeto de explotación intensiva con destino a la fabricación de áridos para la construcción.

Obviamente, la potente masa de conglomerado, más o menos cementado por costra de tipo caliche y constituidos exclusivamente por grava y piedras redondeadas o angulosas, de naturaleza caliza o dolomítica, son el fundamento de la dominancia de los Regosoles litosólicos y Litosoles de la unidad.

La inclusión de Arenosoles álbicos hay que asociarla a los afloramientos arenosos de taludes, barranqueras, etc., donde emergen arenas, areniscas y gravas miocenas.

Los suelos dominantes tienen un epipedón rojizo, poco profundo, que donde supera los 20 cm. se labran y dedican al cultivo del almendro.

La vegetación está constituida por repoblación de pinos con un denso matorral rico en tomillo, romero y otras plantas esenciales.

Los suelos están en fase lítica, pedregosa y algunas veces petrocálcica.

UNIDAD 7

Unidad constituida por la asociación de Litosoles y Regosoles litosólicos con inclusiones de Luvisoles cálcicos y crómicos.

Unidad compleja que se extiende, preferentemente, por el SE de la Hoja, donde además de los suelos mencionados hay Rendsinas, Regosoles calcáneos y Cambisoles cálcicos, que sólo puntualmente superan el 5% de extensión.

La litología justifica un relieve con pendientes casi llanas a moderadamente escarpadas, en terrenos ondulados o casi planos a colinado, a menudo muy pedregosos y rocosos, bien drenados, con escasa capacidad de retención de agua útil y cubiertos por un manto vegetal compuesto por esparto y tomillo con aulagas, también hay algunas zonas repobladas de pinos en cuyo caso la aulaga pasa a ser la especie dominante.

El material original es una caliza dura, kárstica, sobre la que desarrollan suelos muy superficiales, conservados, los más potentes, en las oquedades: se trata de un material rojo, arcilloso, con algunos cutanes de iluviación y puede o no presentar horizonte cálcico.

De forma irregular aparecen isleos cultivados, de colores gris pardo o pardo-rojizos, donde la composición del pedón es a base de Regosoles calcáneos, Cambisoles y Luvisoles cálcicos; cuando afloran micaesquistos el suelo dominante es el Regosol calcáneo.

Los suelos están en fase lítica y algunos en fase pedregosa.

UNIDAD 8

Unidad de Litosoles, Regosoles calcáricos y Rendsinas con inclusiones de Cambisoles cálcicos más Luvisoles crómicos.

Se sitúa por encima de los 1000 metros, en el extremo más oriental de la hoja; aparece formando manchas dispersas dentro del ámbito carbonatado bético; se trata de laderas con pendientes inclinadas a moderadamente escarpadas, convexas, bastante karstificadas y expuestas a la erosión. La pedregosidad y rocosidad es alta.

El material de partida de los suelos es en unos casos un coluvión de cantos carbonatados y en otros calizas y dolomías consolidadas. El Regosol calcáneo desarrolla sobre los materiales detríticos, siendo el suelo dominante de la unidad junto a los Litosoles; los colores son pardo-rojizos y la textura próxima a franco-arcilloso-limosa. Cuando hay mayor densidad de vegetación el epipedón pasa de ócrico a móllico y representa el dominio de las Rendsinas.

A veces, en las zonas más protegidas y por tanto menos erosionadas, se conservan suelos con horizonte cámbico y en algunos casos horizonte cálcico.

En las grietas de los relieves kársticos es frecuente la presencia de Luvisoles, relictos, que al no tener horizonte cálcico se clasifican como crómicos.

UNIDAD 9

Unidad de Regosoles litosólicos con inclusión de Litosoles y Rendsinas.

Los suelos se desarrollan, en las mesetas altas de los relieves montañosos de la Sierra del Manar, sobre dolomías y mármoles dolomíticos kakiritizados. La vegetación es de encinar adehesado y jaras de poco porte pero bastante espesas.

Se trata de una unidad muy degradada que justifica la presencia dominante de unidades litosólicas.

La naturaleza del material original y su consistencia, permite señalar la presencia de Rendsinas allí donde la erosión es menor, pero siempre con un epipedón móllico próximo a los 10 cm.

Son suelos en fase pedregosa y lítica.

UNIDAD 10

Asociación de Regosoles litosólicos y Rendsinas con inclusión de Litosoles.

Ocupa el relieve meridional más suave de la S.- de la Peza y el cono de deyección Norte de la S.ª del Manar, donde las calizas, dolomías y conglomerados, del conjunto alpujárride, afloran extensamente y condicionan la composición de la Unidad Cartográfica. Dominan los Regosoles litosólicos y Rendsinas, quedando reductos líticos ligados a las zonas más erosionadas.

Es un terreno ondulado cubierto por bosque de encinas bastante tupido que se asocia con pinares de repoblación en las zonas más aclaradas; el matorral es un tomillar-aulagar de buen porte.

Destaca el material edafizado por su color rojo (arcilla de descalcificación) que se almacena en las hondonadas y cavidades kársticas, sin llegar, significativamente, a adquirir espesor y diferenciación de horizontes, suficiente, para ser dada como cambisoles o luvisoles.

Al tratarse de terrenos inclinados a suavemente inclinados, con alto índice de vegetación, la degradación y erosión del horizonte orgánico está ralentizada, de ahí la presencia de suelos con horizonte móllico; ahora bien, este puede aparecer, a veces, decarbonatado, pero no se incluye como Phaeozems en la unidad por la naturaleza del material original, fuertemente calcáreo; tampoco como Kastannozems ni Chernozems por falta de horizonte cálcico o acumulaciones calcáreas.

Los suelos están en fase pedregosa y lítica.

UNIDAD 11

Unidad de Regosoles litosólicos con inclusión de Regosoles calcáneos.

Ampliamente extendida por el cuadrante NO de la hoja, cuyos suelos se desarrollan sobre dos conjuntos litológicos superpuestos en concordancia: limos y arcillas con yesos coronados por calizas lacustres, que por su naturaleza son fácilmente atacadas por la erosión.

El grado de fragmentación o consolidación de la caliza matiza la presencia de los Regosoles litosólicos, que resaltan en el paisaje por conservar una vegetación de pinos o xerofítica rica en plantas esenciales.

Los suelos que evolucionan sobre los materiales más blandos dan lugar a Regosoles calcáneos y pueden presentar eflorescencias blanquecinas e incluso un horizonte cálcico por debajo de los 125 cms. Se cultivan con almendros, olivar y cereales en barbecho de año y vez.

Son suelos de textura preferentemente limosa o más fina, cuando el material original es una marga

o arcillas. Son calcáricos a fuertemente calcáneos y básicos. Pueden estar en fase pedregosa o lítica.

UNIDAD 12

Unidad de Regosoles litosólicos y Regosoles calcáricos con inclusión de Litosoles y Xerosoles gípsicos.

Se ubica en el cordón montañoso que va desde Cicullar hasta el arroyo de Santapudia, roto por los numerosos barrancos que circulan de Norte a Sur.

Los suelos se ligan a un material alternante de areniscas y lutitas con evaporitas, donde, como señala DABRIO et al. (1972), las areniscas muestran numerosas estructuras sedimentarias primarias bien conservadas, y las lutitas tienen intercalaciones de anhidrita/yeso (o alabastro).

La potencia de los mencionados niveles es variable y oscila, normalmente, entre varios centímetros y no más de 20. La relación de espesores entre los niveles de areniscas y los tramos lutíticos con evaporitas, es de 2 a 8 veces superior en las areniscas.

La superposición y potencia de los materiales justifica la composición de la unidad cartográfica: dominan las unidades regosólicas y la inclusión de Xerosoles depende de la profundidad del estrato limoso y de la existencia de un incipiente horizonte gípsico (perfil n.ª 1026-44).

Los suelos pueden presentarse en fase lítica y pedregosa, pueden tener cierto grado de salinidad, sin que llegue a ser alta por la conductividad o por el pH.

UNIDAD 13

Unidad de Regosoles calcáneos con inclusión de Regosoles litosólicos y Litosoles.

Situada en el Contadero, al NE de la Hoja, está definida por suelos de escaso desarrollo, en fuertes pendientes, con vegetación rala donde domina el esparto.

Evolucionan los componentes edáficos a partir de una potente masa de conglomerado heterométrico, donde no faltan niveles arenosos y limosos. Su naturaleza (IGME, 1980) es típicamente bética: gneis, micaesquistos y en menor proporción calizas y dolomías, asociadas siempre a una matriz fina de colores gris pardo o pardo-rojizo.

La distribución de las unidades de suelos se relacionan con el grado de consolidación del substrato geológico, limitándose los Regosoles litosólicos a aquellas zonas donde el conglomerado está fuertemente cementado. No hay horizonte cálcico.

Los suelos están en fase pedregosa.

UNIDAD 14

Unidad de Regosoles calcáneos con inclusiones de Regosoles litosólicos, Litosoles y Rendsinas.

Está ubicada al S de la hoja y desarrollan los suelos sobre calcarenitas o conglomerados, calizas y calizo-dolomías masivas y tableadas, que dependiendo del grado de saprolitización justifican la presencia de las distintas tipologías de suelos que la compone, estos son siempre poco evolucionados, regosólicos o litosólicos, de textura arenosa que pasa a arcillosa dependiendo del sustrato.

Los Regosoles calcáricos, dominantes, desarrollan igualmente sobre los limos y arcillas miocenas que puntualmente afloran. En este último caso los suelos están labrados y se dedican al cultivo de cereales; en el resto de la superficie, la pedregosidad y superficialidad del material original impiden las labores agrícolas y el área conserva un encinar bastante denso; si el bosque está esquilmado hay un tomillar/romeral/aulagar bastante espeso, donde se ubican las Rendsinas, tipología que no se alcanza en muchas ocasiones por falta de espesor del epipedón.

La mayoría de los suelos están en fase lítica y pedregosa.

UNIDAD 15

Unidad de Regosoles calcáricos con inclusión de Cambisoles cálcicos más Luvisoles cálcicos y crómicos.

Se reduce a una pequeña mancha, en el extremo NE del mapa, que tiene mayor proyección en la hoja vecina de Güejar Sierra. Se ubica al Este de la Lancha de Cenes y Norte del Río Genil, destacando en ella el Pico del Espartal con 964 m. de altitud.

El material original está formado por conglomerados y limos; las pendientes varían entre el 20 y el 50% y la vegetación es un matorral ralo, estepario de poco porte.

Dominan los Regosoles calcáneos, pedregosos o no, dependiendo de la naturaleza del material primario, asociados en las zonas menos deprimidas a Cambisoles cálcicos. Los suelos rojos aparecen relictos ocupando paleocanales y son escasos en el ámbito de la unidad, pudiendo o no presentar horizonte cálcico, de ahí que se incluyan ambas unidades edáficas dentro de la unidad cartográfica.

Los suelos están en fase pedregosa.

UNIDAD 16

Unidad de Regosoles y Phaeozems calcáneos con inclusión de Cambisoles cálcicos y Litosoles.

Ubicada en el extremo sur-occidental, se define por las pendientes escarpadas e inclinadas, fuerte erosión en cárcavas y surcos, con cobertera vegetal de matorral espeso o, cuando roturado, de almendros.

Los suelos evolucionan a partir de calcarenitas bioclásticas que dependiendo del grado de consolidación y la orientación pueden presentar horizonte cámbico o no.

Donde el macizo se conserva pétreo, el suelo dominante es el Litosol, hecho no muy generalizado dada su fácil saprolitización, que desencadena el desarrollo de Regosoles calcáricos en las solanas, mientras que en la umbría, dependiendo de la densidad de vegetación, puede desarrollarse el horizonte móllico base de los Phaeozems calcáricos, cuando la litología no es fuertemente calcárea.

UNIDAD 17

Regosoles calcáricos y Rendsinas con inclusión de Cambisoles cálcicos y Kastanozems cálcicos.

Unidad enclavada en las cumbres de los Alayos de Dílar: cotas desde 1300 m hasta 1784 metros. El relieve es abrupto, con abundantes cárcavas y densa red de drenaje de tipo radicular. Son laderas planas, divisorias de aguas, con pendientes entre el 40 y 70%. La vegetación es un pinar de repoblación y matorral serial, tomillar y prado xerofítico, con diverso grado de cobertura.

Los suelos principales son los Regosoles calcáricos, seguidos en las zonas más resguardadas y húmedas por las Rendsinas. Ambos tipos de suelos sobre rocas y coluvios carbonatados del manto del Trevenque.

El Kastanozems cálcico aparece asociado a Chernozems cálcicos en los enclaves de mayor umbría y donde la escorrentía de agua es mayor; por su poca extensión se unifica la presencia como Kastannozem.

Los suelos se encuentran en fase lítica y pedregosa.

UNIDAD 18

Unidad de Regosoles calcáricos y Regosoles margálicos con inclusión de Regosoles litosólicos y Litosoles.

Se sitúa entre los materiales Béticos de la Sierra de la Pera, al sur de la hoja, y los montículos evaporíticos-turbidíticos de la unidad 12, al sur de Escúzar. Es una angosta y larga vaguada, hoy en fase de roturación para cultivar almendros.

Desarrollan los suelos sobre una alternancia de limos con cristales de yeso o con masas de alabastro de potencia variable que morfológicamente se asemejan a los descritos en la unidad, de los que se diferencian exclusivamente por su menor desarrollo.

UNIDAD 19

Re/ Rm

Asociación de Regosoles calcáricos y margálicos, con claro dominio de los suelos mencionados en primer lugar.

Desarrollan los suelos sobre un complejo sistema sedimentario de limos, margas y margocalizas lacustres, con o sin yesos. Esta diferencia litológica marca el límite con la unidad envolvente por el norte y oeste del mapa, donde el material original es más margoso.

La pendiente y el material geológico justifican la fuerte erosión de los suelos, en surcos y cárcavas, dejando las cepas de los olivos al descubierto.

El dominio de los Regosoles calcáricos y margálicos, sin solución de continuidad, es el resultado de una edafogénesis leve, ralentizada por el edafoclima, Xérico y Térmico, causando rasgos morfológicos íntimamente relacionados con la naturaleza del sustrato, arcilloso y limoso, como son grietas o no, diferente capacidad de cambio, que sean poco pedregosos, salvo donde las calizas están más consolidadas, pobres en materia orgánica, muy básicos, fuertemente calcáreos, etc.

Los suelos pueden encontrarse en fase pedregosa y lítica, dependiendo del grado de consolidación de la roca madre.

UNIDAD 20

Unidad de Regosoles calcáricos y Regosoles margálicos con inclusión de Cambisoles cálcicos y Solonchacks órticos.

Se ubica al sur del Cortijo de Santa Catalina, diferenciándose los suelos que componen la unidad por la textura, oscilante entre limosa y arcillosa, presentar grietas de retracción y slikensides en las hondonadas o zonas aluviales próximas al río Salado, que la limita por el este.

La forma de cultivar permite diferenciar las tipologías de suelos; Los Regosoles calcáricos y margálicos, con o sin eflorescencias cálcicas o gípscias, están poblados por olivos, mientras que los terrenos más arcillosos se dedican a cereales y girasoles.

El carácter vértico viene definido tanto por las grietas y cutanes de presión como por los deslizamientos en masas, que prolifera en todo el área.

Los suelos con fase salina quedan asociados a las orillas del río Salado y aquellas zonas donde afloran los limos marinos que subyacen a los materiales del Mioceno superior (tercer subtramo).

UNIDAD 21

Unidad de Regosoles calcáricos y Cambisoles cálcicos con inclusión de Fluvisoles calcáricos.

Los suelos dominantes sobre materiales aluviales antiguos y se asocian a Fluvisoles calcáneos en las zonas de inundación ligadas a los afluentes del Genil.

Se trata de terrazas artificiales, suavemente escalonadas, ordenadas paralelamente al cauce del río Genil o sus afluentes, explotándose con cultivos hortofrutícolas, siempre con buenos rendimientos.

Las secuencias aluviales se manifiestan por paquetes de gravas y limos de distinto grosor y granulometría, que aparecen a profundidades diferentes según la posición en la Depresión.

En superficie hay un material limoso donde diferenciamos varios horizontes, alguno de ellos con un cambio textural, extructural y de color que justifica su clasificación como cámbico; ahora bien, este hecho es bastante subjetivo ya que resulta difícil comprobar si el horizonte Bw es realmente horizonte de diagnóstico o no, ya que las diferencias mencionadas se pueden deber más a la labranza que a un proceso de alteración propiamente dicho.

Pueden presentarse en fase hidromórfica.

UNIDAD 22

Unidad de Regosoles calcáneos con inclusión de Cambisoles cálcicos.

Engloba el pie de monte de la Sierra del Manar, que rodea en semicírculo por la parte occidental y de norte a sur, conectando con la gran falla del Valle de Lecrín y los alrededores de Dúrcal.

Se trata de depósitos de pendientes que pueden llegar a inclinaciones del 10%, resultantes de la imbricación de una serie de conos de deyección modernos no rubefactados, que fosilizan puntualmente a otros más antiguos sí rubefactados.

Asociados a estos materiales aparecen restos del conglomerado de la unidad de los llanos de La Zubia, pero sin la costra caliza que allí presentaba.

A la escala del presente trabajo resulta difícil separar estas dos unidades litológicas, que por otra parte tiene una estrecha relación pedológica: las unidades más erosionadas presentan suelos inmaduros, pedregosos, con poca retención de agua útil; son terrenos abandonados tras su roturación, dado el escaso valor agrícola y sobre los que se desarrolla actualmente un aulagar/tomillar.

Sobre coluvios los suelos tienen un horizonte ócrico al que subyace frecuentemente un horizonte cámbico y/o un horizonte cálcico. Los suelos que ocupan estas superficies inclinadas están dedicados preferentemente al cultivo del almendro.

Hay evidencias claras de una intensa erosión hídrica en surcos y cárcavas, así como de la acción del viento.

Los suelos pueden estar en fase pedregosa y a veces lítica.

UNIDAD 23

Unidad de Regosoles calcáneos y Cambisoles cálcicos con inclusión de Regosoles litosólicos y Solonchaks órticos.

Comprende una amplia superficie limitada al Este por la zona aluvial de vega, al oeste por el arroyo Salado y al sur por la línea sinuosa que marca la cota de los 800 metros sobre el nivel del mar.

Los términos turbidíticos se intercalan entre series potentes evaporíticas, representadas por una asociación de limos y yesos; estos últimos forman cristales individualizados y rara vez masas de alabastro.

La potencia del complejo evaporítico es grande, de ahí la dominancia de los Regosoles calcáneos y Cambisoles cálcicos en la unidad cartográfica, si bien estos últimos están poco diferenciados, ya que el horizonte Bw es en muchos casos más estructural que de alteración. Pueden presentar horizonte gípsico.

Cuando las areniscas turbidíticas afloran en superficie, como sucede en los alrededores de Montevives, se cartografían Regosoles litosólicos que por su extensión sólo se dan como inclusión. Los suelos salinos se localizan en las vaguadas y arroyos, donde afloran los limos marinos definidos en la unidad 19. Se dedican exclusivamente a cereales en sistema de cultivo año y vez.

UNIDAD 24

Rc / Bk

Unidad de Regosoles calcáricos y Cambisoles cálcicos. Terreno ondulado con marcados contrastes cromáticos que oscilan de pardo claro a pardo rojizo, quedando algunos resquicios en las vaguadas donde se conservan restos de Luvisoles, cuya extensión no posibilita su inclusión en la unidad. El material original lo constituyen limos, arenas, yesos y conglomerados terciarios, que son la base que justifica la edafología de la unidad. Los yesos y sales más solubles son minoritarios, de ahí que los suelos tengan por lo general baja conductividad en el extracto de saturación, aunque todos ellos son fuertemente calcáreos y básicos o muy básicos, pudiendo presentar horizonte cálcico. Se puede considerar como una unidad de transición entre las vecinas del NO y SO, con mayor contenido en yeso y características vérticas respectivamente. Aquí los suelos aparecen con mayor desarrollo y es fácil observar un horizonte cámbico, puesto de manifiesto por el color y mayor desarrollo estructural, aunque no podemos descartar que sea más una evolución física que alteración química, como ya se indicó en otras unidades, motivada por las labores y la erosión superficial.

UNIDAD 25

Re / Bk / Lk / Rm

Regosoles calcáricos y Cambisoles cálcicos con inclusión de Luvisoles cálcicos y Regosoles margálicos.

Aparece en la parte más septentrional, extremo occidental de la hoja de Padul. Los suelos desarrollan sobre depósitos antiguos de materiales aluviales con potencia y ordenación variable, que están en contacto con los limos del Mioceno-Plioceno, en el borde de la depresión de Granada. Los movimientos generales de subsidencia que han afectado a la región (I.G.M.E., 1980), son los responsables del modelado actual de la zona que, tras los oportunos reajustes neotectónicos, presenta un relieve ondulado a fuertemente ondulado.

Hay en superficie un material limo-arcilloso, pardo claro a rojo, fuertemente antropizado para el cultivo del olivo, almendros y cereales; las zonas más inclinadas están aparatadas formando bancales que tienen aproximadamente un metro de desnivel y entre 5 y 10 metros de ancho. La erosión hídrica es fuerte, laminar y en surcos.

La propia heterogeneidad del material detrítico y la remodelación morfológica del terreno son básicas para establecer los límites y composición de la unidad cartográfica.

Dominan los Regosoles calcáricos en las zonas de mayor pendiente y suelen ir acompañados de abundantes gravas redondeadas o subredondeadas; pueden presentar acumulaciones

calcáreas a profundidades diferentes e incluso formar una costra petrocálcica; también es frecuente la existencia de pequeños cristales de yeso, hecho que viene ligado al contacto con las unidades vecinas. Si la fracción fina es alta (limos más arcillas) y los suelos abren grietas, se cartografían como margálicos.

Donde la erosión es menor y en las vaguadas, se conservan arcillas generalmente rubefactadas, que delimitan la presencia de Cambisoles y Luvisoles cálcicos, aunque estos últimos aparecen a menudo enterrados; ambas unidades de suelos están muy degradas (Perfil 1026-17).

Los suelos pueden presentar fase petrocálcica.

UNIDAD 26

Unidad de Cambisoles cálcicos y Regosoles calcáricos con inclusión de Luvisoles cálcicos.

Ocupa el tramo final de los Llanos de Marchena, al sur de la hoja. Se asemeja a la vecina unidad 7 de la que se diferencia por la mayor potencia de los suelos, ligada a la suavidad del relieve en pendientes ligeramente inclinada; la pedregosidad es moderada o nula y son prácticamente inapreciables los afloramientos rocosos. Hacia el Norte, la mayor rocosidad afecta a la presencia de las unidades más evolucionadas.

Los suelos, como en la unidad colindante, desarrollan sobre formaciones pliocuaternarias de litología diversa: calizas bioclásticas sobre las que evolucionan Cambisoles calcáricos y Luvisoles cálcicos con matices netamente rojos o areniscas que sustentan tanto a Cambisoles cálcicos como Regosoles calcáricos, de texturas más gruesas que las de las unidades edáficas antes citadas; finalmente, sobre los limos, evolucionan Regosoles calcáricos que pueden o no llevar un horizonte cálcico.

Lo suelos desarrollados sobre los dos primeros materiales descritos se encuentran en fase lítica, pero como la roca está por debajo de los 30 cm se dedican cultivo del almendro.

UNIDAD 27

Unidad de Cambisoles cálcicos y Regosoles calcáricos con inclusiones de Litosoles y Luvisoles crómicos.

Se sitúa en la mitad sur de la hoja, al este del Cerro de Carpina, allí donde los micaesquistos del manto de los Guájares afloran de entre los materiales carbonatados del manto del Trevenque.

Se asemeja mucho a la unidad 25, de la que se diferencia por el mayor índice de carbonatos en los suelos, lo que representa el dominio de las unidades de Regosoles calcáricos y Cambisoles cálcicos, sobre los suelos no o débilmente calcáreos incluidos dentro de los Litosoles y Luvisoles crómicos.

Resulta muy difícil la separación de los componentes pues la falla existente entre ambas litologías está en el límite de la hoja.

El terreno es fuertemente ondulado, de color muy contrastado, moderadamente pedregoso y con afloramientos rocosos. La vegetación natural sólo se conserva en los enclaves donde las labores agrícolas no son posibles y está representada por un tomillar aulagar asociado a pinos de repoblación.

Los suelos no labrados están en fase lítica y pedregosa.

UNIDAD 28

Unidad de Regosoles calcáneos y Luvisoles cálcicos con inclusión de Cambisoles cálcicos.

Unidad al SE de Padul, compleja por su litología: asociación, sin disolución de continuidad, de calcarenitas bioclásticas, calizas, dolomías, conglomerados y limos.

A pesar de la variabilidad geológica, la composición edáfica no se dispersa mucho, quedando simplificada con la presencia de Cambisoles cálcicos y Regosoles calcáricos, en las posiciones más inclinadas, donde la erosión ha desmantelado al suelo climático (Luvisol cálcico).

Esta última unidad se conserva en las zonas más llanas y en las vaguadillas generadas por el relieve ondulado propio del área de la unidad, de ahí que haya pequeñas zonas donde el Luvisol es aún exclusivo, pero su extensión y la escala del mapa no hacen posible su cartografía individualizada.

UNIDAD 29

Unidad compuesta por Regosoles calcáricos y Luvisoles cálcicos con inclusión de Cambisoles cálcicos y Luvisoles crómicos.

Terreno alomado configurado sobre el conglomerado de la Alhambra. Se extiende por el NO de la hoja, encima de Huetor Vega; también hay una pequeña mancha al O de la Silla del Fraile. El material original está representado por una potente masa de conglomerados con predominante color rojo y cantos heterométricos, muy variados en su forma y composición, de edad cuaternaria (I.G.M.E., 1980). En la base hay restos esquistosos que pueden aflorar, sobre los que desarrollan Luvisoles crómicos, de ahí su inclusión en la unidad.

El terreno aparece profundamente perturbado por la proliferación de nuevas urbanizaciones o para la implantación del cultivo del almendro, observándose en este último caso, en superficie, la presencia de restos del horizonte petrocálcico o cálcico subyacente al epipedón y del horizonte argíllico o cámbico, según el tipo de suelo que se ha roturado.

Algunos suelos están en fase petrocálcica.

UNIDAD 30

Unidad de Regosoles margálicos con Cambisoles vérticos e inclusión de Cambisoles cálcicos y Regosoles litosólicos.

Define el terreno ondulado que ocupa la franja que se extiende desde el barranco Santapudia hasta el borde occidental de la hoja.

Las unidades de suelos que componen la unidad cartográfica, destacan claramente en el paisaje por el color de los suelos y el uso agrícola de los mismos. En las vaguadas, los suelos oscurecen gradualmente y se hacen fuertemente arcillosos, marcando el carácter vértico de los Cambisoles. Pueden presentar eflorescencias de yeso y/o calizas; son suelos con cierta salinidad, aunque no reúnen los caracteres mínimos exigidos para dicha propiedad diagnóstico.

Fuera de estas posiciones fisiográficas, los suelos aunque arcillosos, pierden gran parte de las características vérticas y la presencia de Bw, de ahí que se clasifiquen como Regosoles margálicos, siempre con alto contenido en carbonatos, sulfato cálcico y arcilla más limo.

Donde el material no es tan margoso desarrollan preferentemente Cambisoles cálcicos; en las zonas más erosionadas, cuando el alabastro aflora y se explota industrialmente, el suelo dominante es el Regosol litosólico.

Los Regosoles margálicos y Cambisoles cálcicos se dedican preferentemente a olivar y cereales, desapareciendo íntegramente en los suelos vérticos donde se cultivan girasoles y cereales; los suelos litosólicos soportan un matorral xerofítico (espartal/tomillar) bastante aclarado y de escaso porte.

UNIDAD 31

Unidad de Regosoles eútricos y Cambisoles crómicos con inclusión de Regosoles litosólicos y Luvisoles crómicos.

Hay dos ambientes diferentes, patentes por el matiz rojo o gris más o menos oscuro de los suelos y por el tipo de vegetación que los coloniza, encinar en las zonas no labradas y almendros o cereales en las explotadas agrícolamente. Aunque nítidas ambas subunidades, no se cartografían aisladamente por la pequeña extensión del isleo que constituye la unidad, aflorante a la altura de Agrón exclusivamente.

El factor desencadenante de la presencia de unidades crómicas o eútricas es la roca madre: micaesquistos grafitosos con granates o micaesquistos biotíticos, no grafitosos, que al alterarse adquieren tonalidades pardas o rojizas.

El suelo dominante, Regosol eútrico (perfil, n.º 1026-30), ocupa el espacio más quebrado y aparece poblado por un exuberante encinar/jaral, que lo resguarda de la erosión; donde esto no sucede, los suelos se erosionan y el epipedón decrece sensiblemente no superando los 30 cm (Regosoles litosólicos).

En la parte oeste de la carretera que va de Agrón a Alhama de Granada los suelos dominantes son los crómicos, con predominio del grupo de los Cambisoles.

Morfológicamente se diferencian por la potencia y desarrollo estructural, que es mayor en el caso de los suelos rojos. También el horizonte A es diferente, siendo más esponjoso y orgánico en los suelos no antropizados, que son más pedregosos y están en fase lítica.

Común en todos ellos es el pH casi neutro, no ser calcáreos y tener el complejo de cambio saturado más del 50%, con valores próximos a la saturación.

UNIDAD 32

Unidad de Cambisoles eútricos y Regosoles eútricos con inclusiones de Cambisoles crómicos, Luvisoles crómicos y Regosoles calcáricos.

Hay dos pequeñas manchas, en el ángulo NO del mapa, conectadas entre sí en la hoja de Güejar Sierra (1027).

La unidad se enclava en un conglomerado heterométrico rico en cantos metamórficos con matriz arenosa o sobre micaesquistos; cubriendo al suelo que sobre estos materiales se desarrolla, hay un material serial aclarado y zonas con repoblación de pinos o roturadas para el cultivo del almendro donde la pedregosidad es menor y los suelos son más profundos.

Dominan las unidades eútricas, aunque todas ellas son débilmente calcáreas en superficie, pero no entre los 20 y 50 cm, salvo en el contacto con los materiales calizo dolomíticos que coronan los micaesquistos y circundan la unidad, donde son calcáreas.

Las diferentes tipologías responden a cambios cromáticos dentro del matiz 5YR, debidos a la mayor o menor intensidad de color (chromas entre 1 y 8); en cualquiera de los casos se relaciona con la naturaleza del micaesquisto subyacente.

Los suelos pueden estar en fase pedregosa y lítica.

UNIDAD 33

Unidad de Rendsinas con inclusiones de Cambisoles y Kastanozems cálcicos más Regosoles calca ricos.

Define un terreno quebrado con cubierta vegetal espesa, marcada por un matorral de aulagas y jaras asociados a restos del bosque autóctono; la vegetación es tanto más densa cuanto más nos adentramos en la hoja vecina de Güejar Sierra de la que es su último apéndice y por tanto aquí poco significativa en su composición edáfica.

Se corresponde con la Rambla Seca, al Norte del Alto de los Pollos en el SE de la hoja y alcanza cotas superiores a los 1500 m. Es un área montañosa con laderas cóncavas, fuertemente socavada, compuesta de coluviones estabilizados por la vegetación, responsable fundamental de los tipos de suelos presentes: Rendsinas y Kastanozems en los ambientes más húmedos, asociados a Cambisoles cálcicos y Regosoles calcáricos en las zonas menos resguardadas y más degradadas; los Cambisoles pueden presentar horizonte cálcico.

Los suelos de la unidad están en fase pedregosa y mayoritariamente en fase lítica.

UNIDAD 34

Arenosoles álbicos y Regosoles calcáricos con inclusiones de Cambisoles y Kastanozems cálcicos más Rendsinas.

Unidad localizada en el contacto con la hoja 1027, en cuyo interior se acentúa (Barranco del Buho).

Es un área carvada con red de drenaje densa y cubierta por escasa vegetación. La movilidad superficial de los materiales es elevada, apareciendo abundantes áreas erosivas, cárcavas, ramblas y arenales. Las pendientes medias están próximas al 50%. La vegetación es escasa con restos de árboles autóctonos asociados a otros de repoblación.

Se ubica sobre dolomías y mármoles, muy tectonizados, con alto porcentaje de afloramientos rocosos y fuerte pedregosidad; el suelo dominante es un Regosol de textura franco arenosa y epipedón con poco más de 20 cm; el horizonte C es la roca “in situ” o algo coluvionada, pero en cualquier caso deleznable. Generalmente hay indicios de lavado de carbonatos.

El Arenosol álbico ocupa las áreas más denudadas, donde afloran las areniscas y están saprolitizadas; al encontrarse muy desprotegidos aparecen afectados por la erosión eólica, hídrica, movimientos de reptación, etc... El perfil es de tipo A-C, con el horizonte A que difícilmente supera los 10 cm y es relativamente más rico en tierra fina que el resto. Los colores son muy claros y ellos, junto a las texturas muy gruesas, justifican la inclusión como Arenosoles, que si no cumplen los requisitos pasan a Regosoles. La unidad edáfica está poco extendida en el área del Padul, donde la erosión es mayor y los suelos no llegan a tener espesor suficiente para ser clasificados como tales Arenosoles.

Los Cambisoles y Regosoles desarrollan sobre las calizas y dolomías, definiéndose en otra unidad tipológica según la posición fisiográfica y orientación.

Algunos suelos están en fase lítica y/o pedregosa.

UNIDAD 35

Unidad de Cambisoles y Kastanozems cálcicos más Rendsinas con inclusiones Chernozems cálcicos y Regosoles calcáricos.

Se trata de las últimas estribaciones de la unidad 21 de la hoja vecina diferenciándose por el ambiente más húmedo que condiciona la mayor cobertura vegetal, que asegura además el aporte orgánico y protege al suelo de la erosión, de ahí que los suelos presenten un horizonte móllico, al que puede subyacer un horizonte cálcico o no.

Donde la vegetación se degrada, dicho horizonte de diagnóstico desaparece y los suelos residuales son Cambisoles cálcicos o Regosoles calcáricos, dependiendo de la naturaleza del roquedo, caliza o material coluvial, esquistos, etc. En este último caso los suelos son menos calcáreos que cuando el material original es calizo.

UNIDAD 36

Unidad de Cambisoles cálcicos y Rendsinas con inclusiones de Cambisoles crómicos, Kastanozems cálcicos y Phaeozems háplicos.

El manto del Trevenque queda definido en el área de la unidad mediante una formación filitosa que subyace a otra carbonatada.

Entre los materiales filitosos se pueden encontrar intercalaciones cuarcíticas de poca potencia. La formación carbonatada está compuesta por dolomías y mármoles dolomíticos kakiritizados.

Esta compleja composición justifica la dispersión edáfica de la unidad: las Rendsinas se localizan sobre materiales fuertemente calcáreos y se ven asociadas a Kastanozems en las zonas más húmedas; en las zonas más templadas y con menor vegetación, el suelo modal es el Cambisol cálcico integrado a Regosol. Los Cambisoles crómicos y los Phaeozems se ligan necesariamente a los.materiales silicatados.

La mayoría de los suelos están en fase lítica y pedregosa.

UNIDAD 37

Unidad de Cambisoles cálcicos con inclusión de Fluvisoles y Regosoles calcáricos más Luvisoles cálcicos.

Unidad meramente testimonial que representa los últimos trazos de la unidad 23 de la hoja vecina de Güejar Sierra (1027). Aquí llegan las últimas salpicaduras de la Fuente de las Angustias y del Manantial de Castaños, a la vez que se incrementan los afloramientos de micaesquistos, por lo que no se puede descartar la presencia de unidades de suelos del tipo Regosoles eútricos y Cambisoles eútricos/crómicos, pero la fuerte incidencia de los materiales carbonatados que coronan la formación silícea, afectando al suelo y de ahí el dominio de las unidades calcáricas.

Los suelos, muchos de ellos, se encuentran en fase pedregosa y a veces lítica o hidromórfica.

UNIDAD 38

Asociación de Cambisoles y Luvisoles cálcicos con inclusión de Litosoles y Luvisoles crómicos.

Está asociada a las unidades 7 y 2 de las que se diferencia por el mayor dominio de los Luvisoles cálcicos, que además de ocupar diaclasas y huecos, se extienden irregularmente por todo el área de la unidad, dominando en algunos puntos dentro de la asociación.

Sobre los materiales kársticos pueden aparecer suelos con horizonte cámbico, poco manifiesto, que justificaría la presencia de Cambisoles cálcicos dentro de la unidad. Los Luvisoles y Cambisoles desarrollan sobre calizas y presentan generalmente un horizonte cálcico a menos de 60 cm, que puede formar costra dura y continua. Los Litosoles se asocian a las zonas donde emerge el material original. Los Luvisoles presentan un horizonte argíllico, decarbonatado, al que subyace un horizonte cálcico, como ya se señaló y cuando no sucede esto tenemos Luvisoles crómicos, que se sitúan preferentemente en las grietas y zonas resguardadas donde, incluso, pueden aparecer suelos con horizonte móllico.

Los Cambisoles son los suelos dominantes y proceden bien de la terrificación del Luvisol o bien directamente de las arcillas de descalcificación, diferenciándose en este caso por la intensidad del color rojo que presentan.

Los suelos pueden encontrarse en fase lítica y/o pedregosa y a veces petrocálcica.

UNIDAD 39

Unidad de Cambisoles y Luvisoles cálcicos con inclusión de Regosoles calcáricos.

Se extiende por los Llanos del Temple y zonas onduladas limítrofes con las unidades cartográficas vecinas, no resultando fácil separar por la semejanza del paisaje, motivado por el monocultivo cerealista que enmascara el relieve y el color del suelo, salvo pequeños enclaves de olivar que se circunscriben a los suelos rojos.

Estos últimos, Cambisoles y Luvisoles, domina ampliamente en el vértice que marca la confluencia de la carretera de la Mala con la de Chimeneas, donde se ubica Ventas de Huelma. Los suelos se desarrollan sobre un conglomerado calizo o sobre limos litocromos, y presentan un horizonte cálcico.

Donde el relieve ya no es tan plano y sobre calizas lacustres o limos con o sin yesos, los suelos son menos diferenciados y tienen o no horizonte cálcico, son limosos y morfológicamente próximos a las unidades con las que contactan. En estas posiciones los suelos más rojos concretan su presencia a zonas más resguardadas y a las vaguadillas.

UNIDAD 40

Unidad de Luvisoles cálcicos con inclusiones de Cambisoles cálcicos.

Recoge los suelos de la Depresión del Padul fuera del dominio de los Histosoles. El relieve es llano o suavemente inclinado y más ondulado en los bordes de la Depresión.

El paisaje, muy característico, se define por el contraste de color de los suelos, la suavidad del terreno y el alineamiento y alternancia de los cultivos, que son almendros, olivos y cereales principalmente.

El material original lo representan micaesquistos ferruginosos o un conglomerado heterométrico, más generalizado, de cantos angulosos y naturaleza variable, compuesto de micaesquistos, esquistos, cuarcitas y a veces dolomías (restos de la “Block Formation”).

Los suelos rojos destacan por su fuerte matiz y presentan siempre un horizonte cálcico. Donde la erosión o deposición es mayor, los suelos rojos se terrifican y el suelo presenta un horizonte cámbico al que subyace un horizonte cálcico; el contenido en arcillas en ambas unidades de suelos varía con la posición fisiográfica y su ubicación en la Depresión.

Son frecuentes los paleosuelos, que aparecen separados verticalmente por niveles de margas violáceas o conglomerados de distinta composición y potencia.

UNIDAD 41

Unidad miscelánea donde se agrupan los núcleos de población, grandes urbanizaciones, explotaciones mineras (celestina, yeso, áridos, etc.), aeródromo de Armilla, campos de tiro, etc.

BIBLIOGRAFÍA

AGUILAR, J.; BULLCOK, ORTEGA M. y Simon M. Paleosuelos mixtos (rojos y pardos) en la Depresión de Granada. Ann. de Edaf. y Agrobiol. T-XL n.9 5-6. Madrid. 1981.

ALLISON, L. E. Oversaturation Method for Preparing Saturation Extract for Salinity Appraisol. Soil Sci. 116:65,69. 1973.

ASENSIO, C. Estudio edáfico del sector oriental de la hoja de Padul (1026). Tesis de licenciatura. Univ. de Granada. 168 p. 1991.

BENAVENTE, J. Contribución al conocimiento hidrogeológico de los acuíferos costeros de la provincia de Granada. Tesis Doctoral. Universidad de Granada. 571 p. 1982.

BENAVENTE, J. y FRONTANA, J. Temperatura y evapotranspiración en el sector de la Vertiente Sur de España. Cuadernos Geográficos de la Universidad de Granada. Págs. 27-40. 1984.

BOSQUE, J. “El clima de Granada”. Rev. Est. Geograf. XII. Madrid. 1957.

BOSQUE, J. “Granada, la tierra y sus hombres”. Depto. de Geografía. Universidad de Granada. 1971.

Bunting, B. T. The Geography of Soils. Aldine Pub. Co. Chicago. U.S.A. 1965.

CAPEL, J. J. “Génesis de las inundaciones de octubre de 1973 en el Sureste de la Península Ibérica”. Cuad. Geogr. Univ. Granada, 4, 149-166. 1974.

Capel, J. J. y ANDUJAR, E. C. “Mapa pluviométrico de Andalucía”. Rev. Paralelo, 37, 2. Almería. 1978.

CARROLL, D. M. Remote sensing techniques and their application to soil science. Soils Fertilizers 36: 259-66 y 313-20. 1973.

CARROLL, D. M.; EVANS, R. y BENDELOW, V. C. Air photo-interpretation for soil mapping. Monog. Tec. n.°

8. Soil Survey of England and Wales. 85 p. Herpenden. 1977. Castillo Martin, A. Síntesis Hidroquímica de la Depresión de Padul (Granada). Cuadernos de Geología. Univ. Granada, 12: 209-217. 1985. CASTILLO MARTIN, A.; CRUZ-PIZARRO, L; CARRILLO LECHUGA, P. Propuesta de instalación de una planta experimental de “lenguaje” con aprovechamientos acuícolas, en Padul (Granada). II Simposio sobre el Agua en Andalucía. 83-92. 1986. CEFTA. Foto Aérea Hoja Núm. 1026, a escala 1:18.000. Serrano, 211. Madrid. 1977. CEREZUELA, F. Evapotranspiración y microclima de la Vertiente Mediterránea del Sur de España. Universidad de Málaga, 350 p. 1977. DABRIO, C. J.; GARCÍA YEBRA, R.; González Donoso, J. M. y VERA, J. A. Turbiditas asociadas a Evaporitas Miocenas, (La Mala, Depresión de Granada). Cuad. Geol. Univ. Granada 3: 139-164. 1972. Faniran, A y AREOLA, O. Essentials of soil study. Heinemann. London. 278 p. 1978. FAO. Guía para la descripción de perfiles de suelos. F.A.O. Roma. 70 p. 1977. FAO. Clave para la clasificación de los Suelos. Vol. 1. Leyenda. Sociedad Española de la Ciencia del Suelo. 58 p. 1981.

FRONTANA, J. El clima de la costa mediterránea andaluza. Estudio estadístico. Memoria de Licenciatura. Universidad de Granada. 255 p. (Inédita). 1979.

GALLEGOS, J. A. Las Alpujárrides al O. de Sierra Nevada. Tesis Doctoral. Facultad de Ciencias. Universidad de Granada. 494 p. 1975.

GONZÁLEZ DONOSO, J. M. Estudio Geológico de la Depresión de Granada. Tesis. Granada, mem. ined. 1967.

GONZÁLEZ DONOSO. Conclusiones estratigrafías y paleográficas sobre los terrenos miocenos de la Depresión de Granada. Acta Geol. Hisp. 3: 57-63. 1968.

HENIN, S.; GRAS, S. y MONNIER, G. El perfil cultural. Ed. Mundi-Prensa. 341 p. Madrid. 1972.

I.G.M.E. Mapa Geológico de España escala 1:50.000. Hoja 1026. Padul. 1980.

I.N.I.A. Agrobiología de España. Cuaderno núm. 7. INIA. Ministerio de Agricultura. Madrid. 1977. LÓPEZ NIETO, J. M. La vegetación en la Depresión de Padul. Investigaciones florísticas, fitosociológicas y dinámicas. Tesis de Licenciatura. Univ. de Granada. 292 p. 1989. LUCDEME. Memoria Mapa de Suelos de la Hoja de Gergal (1041) E. 1:100.000. Univ. de Granada.

ICONA. Min. Agric. Pesca y Alimentación. 1986.

MINISTERIO DE AGRICULTURA. Métodos Oficiales de Análisis del Ministerio de Agricultura. Madrid. 1971.

OCAÑA, C. La Vega de Granada. Tesis Doctoral. Univ. de Granada. 1972.

ORTEGA, E.; PARRAGA, J. y Marín, G. Factores formadores de los suelos del sector Salar-Alhama (Granada). Anales de Edaf. y Agrobiol. Tomo XLII, núms. 9-10. 1983.

ORTEGA, M. Mineralogía de la Block formation. Depresión de Granada. Tesis Doctoral. Univ. Granada. 482 p. 1979.

PAPADAKIS, J. El clima. Ed. Albatros. Buenos Aires. 337 p. 1980.

PÉREZ RAYA, F. Estudio de la vegetación gipsícola de la Depresión de Granada. Tesis de Licenciatura (ined.). Univ. Granada. 1982.

REITAN, C. H. y CREEN, C. R. Weather and climate of desert environments. Deserts of the world. W. G. Me. Ginnies B. J. Goldman y P. Paylose. Editors. University of Arizona Press. Tucson. 18-22 p. 1967.

Richards, L. A. Diagnosis and improvement of saline and alkali soils. U. S. Salinity. Laboratory. U.S. Dept. Agrie. Handbook n.9 60. 1954. RIVAS MARTÍNEZ, S.; ASENSI, A.; MOLERO, J. y VALLE, F. Tipología biogeográfica de Andalucía. I Jornadas de Taxonomía Vegetal (Multicopia). Sevilla. 1987.

SANZ de GALDEANO, L. Datos sobre las formaciones neógenas y cuaternarias del sector de Padul (Granada). Reunión sobre la geodinámica de las Cordilleras Béticas y mar de Alborán. Ser. Publ. Univ. Granada, pp. 197-218. 1978.

SANTOS, F. Estudio Geológico y Edafológico del sector Montiel-Alcaráz (Ciudad Real-Albacete). Tesis Doctoral. Univ. de Granada. 1979.

SERVICIO GEOGRÁFICO DEL EJERCITO. Mapa Topográfico Nacional. Escalas 1:50.000 y 1:100.000 Hojas de Padul y Granada. Madrid. 1978-1980.

SIERRA, C. La productividad y desarrollo del olivo en la provincia de Granada en relación con el suelo y clima. Tesis Doctoral. Univ. de Granada. 1971.

SIMÓN, M. Estudio de los suelos salinos de la provincia de Granada. Tesis Doctoral. Univ. de Granada. 419 p. 1978.

SOIL CHARTS MUNSELL. Munsell color company. Inc. Baltimore, Maryland USA. 1958.

SOIL CONSERVATION SERVICE. Soil Survey Laboratory methods and procedures for collecting soil

samples. USDA. Dept. Agrie. Washington. 1972. SOIL SURVEY STAFF. Soil Taxonomy. Soil Conservation Service. U.S. Dept. Agric. Handbook n.° 436. 754 p. 1975. TYURIN, I. V. Analytical procedure for a comparative study of soil humus, trudy. Pochr. Inst. Dokuchaeva 38, 5 (Descrito por Kononova 1961). UTRABO, M. Estudio edafológico del Sector NE de la hoja de Dúrcal (1041). Tesina de Licenciatura. Univ. de Granada. VILLEGAS, F. El Valle de Lecrín, estudio geográfico. Inst. de Geografía aplicada del Patrón. Alonso Herrera. Granada. 1972. WHITE, L. P. “Aerial photography and remote sensing for soil survey clarendon press”. Oxford. 104 p.

ICONA

PROYECTO LUCDEME

PUBLICACIONES DEL

INSTITUTO NACIONAL PARA LA CONSERVACIÓN DE LA NATURALEZA

Gran Vía de San Francisco, 35 280005 MADRID