PROYECTO LUCDEME
MAPA DE SUELOS
ESCALA 1:100.000

PROYECTO LUCDEME
MAPA DE SUELOS
ESCALA 1:100.000
974
ESTACION EXPERIMENTAL DEL ZAIDIN GRANADA
1992
II.1. TRABAJO DE CAMPO
La primera fase se realizó sobre una base exclusivamente topográfica, como son los mapas editados por el Servicio Geográfico del Ejercito. Empleamos la Hoja a escala 1:50.000 correspondiente al área de estudio, y la Hoja de HUERCAL-OVERA (12-20), escala 1:100.000, las que nos sirvieron para llevar a cabo un estudio puramente geográfico de la zona y poder establecer una serie de itinerarios que nos permitieran recorrer la totalidad de ésta.
Este primer contacto se completó con salidas al campo en el que se recorrió la mayor parte de la Hoja, y se fijaron los límites de la misma, además de reconocer las unidades paisajísticas más importante.
El segundo paso fue reconocer todos los datos bibliográficos posibles sobre la zona, basados fundamentalmente en el Mapa de Suelos y Vegetación de la provincia de Granada, (A. Pérez Pujalte y P. Prieto 1980) ya que la zona estudiada limita con la provincia de Granada. Además se revisó todos aquellos parámetros que inciden en los factores formadores, particularmente, clima y litología.
Posteriormente, apoyándose en estos datos, se realizó la fotointerpretación con una base primordial en los factores formadores, materia original y relieve. Con este estudio se procedió a la separación de varias zonas muestrales homogéneas representativas de los distintos paisajes presentes en el área estudiada. A partir de este mapa tentativo se planificaron una serie de itinerarios de campo uniformemente repartidos y que cortasen el máximo de contactos entre las unidades establecidas.
A lo largo de estos recorridos se efectuaron observaciones de campo y se recogieron un total de 60 muestras de la capa arable, en estas se estudió su composición granulométrica, ph. materia orgánica, conductividad y se anotó su pendiente.
Establecidos los suelos dominantes de cada zona muestral se procedió a la excavación de perfiles en situaciones típicas. En total se tomaron 27 perfiles de lo que han anotado las principales características del suelo, siguiendo las normas establecidas por la Guía de Descripción de Perfiles de la F.A.O. (1977), y se analizaron en el laboratorio sus propiedades físico-químicos.
La excavación de los perfiles se realizó con una retroexcavadora Smalley-5 remolcable por un vehículo tipo Land-Rover.
III.1. UNIDADES TAXONOMICAS
Se trata de suelos desarrollados sobre áreas sometidas a fuertes procesos de erosión, tanto en el pasado como actualmente y cuya profundidad está limitada por roca dura y coherente a menos de 10 cm. de la superficie.
El horizonte A es siempre ócrico aún cuando contenga cantidades significativas de materia orgánica, pero dado su escaso espesor no puede considerarse como móllico. Están desarrollados principalmente sobre calizas (Sierras del Saliente, Estancias y María) aunque también se encuentran sobre materiales metamórficos, cuarcitas y esquistos e incluso sobre conglomerados.
Las pendientes siempre corresponden a las clases más abruptas, comprendidas entre el 25-50%.
Estos suelos están prácticamente secos a lo largo de todo el año, excepto en los momentos siguientes a la lluvia, ya que presentan texturas gruesas y muy poco espesor, por lo que la capacidad de retención de agua útil alcanza valores bajos, se presentan como unidad propia así como componente de diversas Unidades, siempre en las zonas más abruptas de la Hoja.
Bajo esta denominación se incluyen suelos poco evolucionados desarrollados a partir de depósitos aluviales recientes y que no tienen nada más que un horizonte A ócrico como horizonte diagnóstico.
Se trata de suelos calcáreos, aunque los materiales que los conforman mayoritarios sean metamórficos, pero dada la abundancia de calizas y dolomías en el área, los suelos presentan una carbonización procedente de estos materiales. En algunas zonas estos suelos están sufriendo una cierta salinización por efecto del riego con aguas de mala calidad. Las texturas son de tipo medio a gruesa. La capacidad de cambio presenta valores medios siendo el calcio y magnesio los cationes dominantes.
En todos los casos se trata siempre de suelos profundos aunque poco diferenciados y que están desarrollados sobre zonas con pendientes entre el 2 y 6%. Se presentan en las principales ramblas de la Hoja y se localizan alternando con materiales propios de las ramblas sin que estos den lugar a un suelo. Se ha muestreado el perfil 23 como representativo de este tipo de suelos cuyas características se acompañan.
PERFIL NUM. 23
CARACTERISTICAS MACROMORFOLOGICAS
Clasificación: Fluvisol calcáreo.
Fecha de observación: Mayo 1992.
Provincia: Almería.
Situación: Rambla de Chirivel, 200 m. al Norte del Km. 106.5 de la N-342.
Hoja topográfica: 974.
Coordenadas: 5836-4167.
Altitud: 790 m.
Posición fisiográfica: Fondo de valle.
Forma del terreno circundante: Casi plano.
Pendiente: Clase 1. Llano o casi llano.
Orientación: -
Vegetación o uso: Matorral. Almendros y zonas de huerta.
Material original: Aluvial. Gravas.
Drenaje: Clase 3. Moderadamente bien drenado.
Condiciones de humedad: Húmedo a partir de 60 cm.
Pedregosidad: Clase 0. Sin piedras o con muy pocas.
Afloramientos rocosos: Clase 0. Ninguna o muy pocas rocas.
Erosión: Zona de acumulación.
Hor. Prof. cm. Descripción
| Ap1 | 0-17 | Color pardo (7,5YR 5/4) en húmedo, rosado (7,5YR 7/3) en seco. Textura, |
| franca. Estructura, débil, migajosa fina. Ligeramente adherente, ligeramente | ||
| plástico, muy friable, ligeramente duro. No aparecen cútanes. Poros pocos a | ||
| frecuentes, finos, discontinuos, caóticos, exped e intersticiales. Fragmentos | ||
| rocosos pocos, caliza y micaesquistos, angulares y planos, no alterados. | ||
| Nódulos no aparecen. Fuertemente calcáreo. Raíces pocas y finas. Límite | ||
| neto y plano. | ||
| Ap2 | 17-38 | Color pardo (7,5YR 5/4) en húmedo, pardo claro (7,5YR 6/4) en seco. Textura, |
| franca. Estructura, aglomerada. Ligeramente adherente, ligeramente plástico, | ||
| friable, duro. No aparecen cútanes. Prácticamente no poroso. Fragmentos | ||
| rocosos pocos, caliza y micaesquistos, redondeados y no alterados, gravilla. | ||
| Nódulos no hay. Fuertemente calcáreo. Raíces muy pocas y muy finas. Límite | ||
| gradual y plano. | ||
| C1 | 38-62 | Color pardo oscuro (7,5YR 4/4) en húmedo, pardo (7,5YR 5/3) en seco. |
| Textura, franco arenosa. Estructura, aglomerada. Ligeramente adherente, | ||
| ligeramente plástico, firme y duro. No aparecen cútanes. No poroso. | ||
| Fragmentos rocosos pocos, caliza y micaesquistos, redondeados y no | ||
| alterados, gravilla. Nódulos no hay. Fuertemente calcáreo. Raíces, no hay, | ||
| sólo algunas muy podridas. Límite gradual y plano. | ||
| C2 | 62-93 | Color pardo oscuro (7,5YR 4/3) en húmedo, pardo claro (7,5YR 6/4) en seco. |
| Textura, franco limosa. Estructura, aglomerada. Ligeramente adherente, | ||
| ligeramente plástico, firme y duro. No aparecen cútanes. No poroso. | ||
| 35 |
Fragmentos rocosos, frecuentes, caliza y micaesquistos, redondeados y no alterados, gravilla. Nódulos no hay. Fuertemente calcáreo. Raíces, no aparecen. Límite neto y plano.
C3 93-140 Nivel de gravas y arenas. Textura, arenosa franco.
RESULTADOS ANALITICOS

Bases y Capacidad (meq/100 gr)

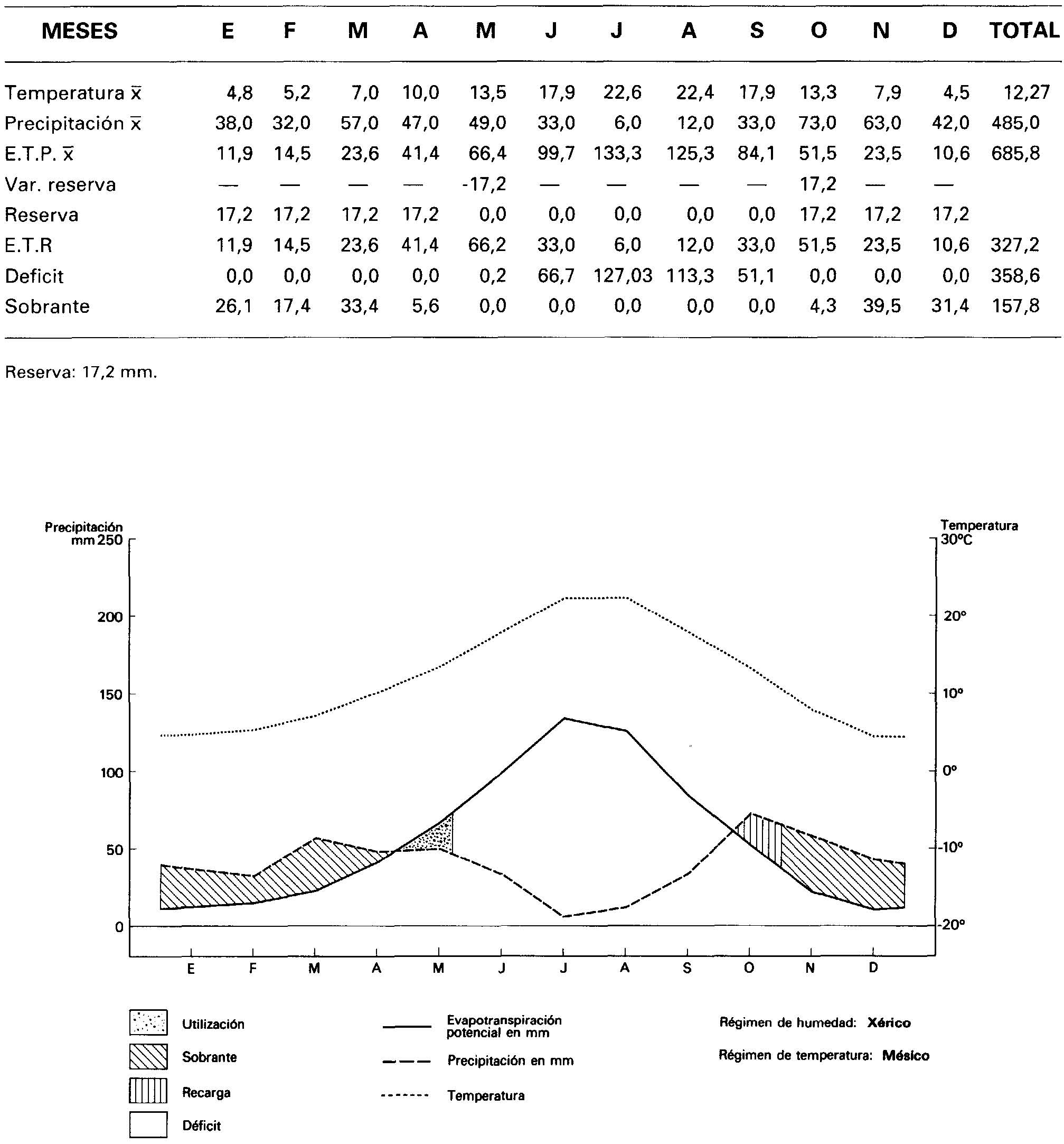
FICHA CLIMATICA DEL PERFIL

Constituyen el grupo de suelos más extendido de los que se encuadran en la Hoja, de ahí el número de perfiles muestreados que han sido seleccionadas entre las áreas más significativas.
Estos suelos se presentan sobre materiales no consolidados, materiales de piedemonte de las Sierras de María y del Saliente, conglomerados, costras y derrubios, así como materiales metamórficos tan abundantes en la Hoja, filitas, esquistos y en ocasiones cuarcitas que en todos los casos están profundamente alterados por lo que son fácilmente desmenuzables entre los dedos y que han sido considerados como materiales no consolidados. Su presencia en la Hoja es constante, ya formando Unidad propia o en asociación con otros grupos con los que constituye la mitad de las Unidades existentes en la Hoja.
Se trata siempre de suelos con profundidad de 20-30 cm. con un desarrollo A-C, valores altos de pedregosidad y textura media a gruesa y con valores bajos en contenido en materia orgánica; las pendientes oscilan entre la clase 3 a la 5; la capacidad de cambio, como era predecible presenta valores bajos, oscilando entre 30-40 meq/100 gr. siendo el calcio el catión dominante.
La capacidad de retención de agua de estos suelos presenta valores bajos, lo que limita su aprovechamiento desde el punto de vista agrícola, así las zonas de almendros y cereales existentes sobre los mismos tienen bajos niveles en cuanto a rendimientos por hectárea, lo que está provocando su abandono pasando a ser usado como pastizales, estos mismos también con bajo rendimiento.
Se han muestreado un elevado número de perfiles debido a la gran representatividad en la zona. Los perfiles estudiados son los números 2, 3, 4, 5,6, 11, 13, 14, 16, 17, 20, 21, 22 y cuyos datos morfológicos, analíticos y de clima se incluyen.
PERFIL NUM. 2
CARACTERISTICAS MACROMORFOLOGICAS
Clasificación: Regosol calcárico.
Fecha de observación: Mayo 1991.
Provincia: Murcia.
Situación: 1.1 Km. al Sur del Km. 95.5 de la N-342 (Las Norias).
Hoja topográfica: 974.
Coordenadas: 5928-41634.
Altitud: 850 m.
Posición fisiográfica: Pendiente cóncava.
Forma del terreno circundante: Ondulado.
Pendiente: Clase 2. Suavemente inclinado.
Orientación : Este.
Vegetación o Uso: Almendros. Matorral, pastizal (en pequeñas zonas).
Material original: Esquistos.
Drenaje: Clase 3. Moderadamente bien drenado.
Condiciones de humedad: Seco todo el perfil.
Pedregosidad: Clase 1. Moderadamente pedregoso.
Afloramientos rocosos: Clase 0. Ninguna o muy pocas rocas.
Erosión: Débil. Surcos y cárcavas.
Hor. Prof. cm. Descripción
| Ah | 0-17 | Color pardo amarillento oscuro (10YR 4/4) en húmedo y pardo pálido (10YR |
| 6/3) en seco. Textura, franco arenosa. Estructura débil, migajosa media con | ||
| tendencia masiva. No adherente, no plástica, muy friable y blando. No | ||
| aparecen cútanes. Poros frecuentes, finos, continuos, caóticos, exped e | ||
| intersticiales. Fragmentos rocosos frecuentes, esquistos y cuarcitas, | ||
| subangular, grava. Nódulos no aparecen. Calcáreo. Raíces comunes finas. | ||
| Límite gradual y plano. | ||
| AC | 17-38 | Color pardo amarillento oscuro (10YR 4/4) en húmedo y pardo amarillento |
| claro (10YR 6/4) en seco. Textura, franco arenosa. Sin estructura | ||
| (aglomerada). No adherente, no plástica, friable y ligeramente duro. No | ||
| aparecen cútanes. Poros pocos, muy finos, discontinuos, caóticos, exped y | ||
| tubulares. Fragmentos rocosos, frecuentes, esquistos y cuarcitas, plana y | ||
| angulares, grava fina. No hay nódulos. Calcáreo. Raíces pocas muy finas. | ||
| Límite neto y plano. | ||
| R | 28-60 | Esquistos. |
RESULTADOS ANALITICOS

FICHA CLIMATICA DEL PERFIL

PERFIL NUM. 3
CARACTERISTICAS MACROMORFOLOGICAS
Clasificación: Regosol calcárico.
Fecha de observación: Mayo 1991.
Provincia: Murcia.
Situación: Camino que desde el Km 92 de la N-342 y en dirección Norte llega hasta la Parroquia,
a 5 Km del cruce.
Hoja topográfica: 974.
Coordenadas: 5961-4167.
Altitud: 800 m.
Posición fisiográfica: Pequeña loma.
Forma del terreno circundante: Fuertemente ondulado.
Pendiente: Clase 2. Suavemente inclinado.
Orientación: Este.
Vegetación o Uso: Almendros. Pastizal matorral con encinar (sólo pequeñas áreas).
Drenaje: Clase 2. Imperfectamente drenado.
Condiciones de humedad: Húmedo todo el perfil.
Pedregosidad: Clase 2. Pedregoso.
Afloramientos rocosos: Clase 2. Rocoso.
Erosión: Severa. Surcos y cárcavas.
Hor. Prof. cm. Descripción
| Ap | 0-20 | Color gris amarillento (2.5Y 5/1) en húmedo, gris claro (2,5Y 7/1) en seco. Textura, franco arenosa gruesa. Estructura débil, migajosa media. No adherente, no plástico, suelto y blando. No aparecen cútanes. Poros frecuentes, finos, discontinuos, caóticos, exped y tubulares. Fragmentos rocosos frecuentes, filitas y cuarcitas, angulares, poco alteradas, gravagravillas. Nódulos no presentan. Fuertemente calcáreo. Raíces pocas, muy finas. Límite neto y plano. |
| C | 20-60 | Filitas. |
RESULTADOS ANALITICOS

FICHA CLIMATICA DEL PERFIL

PERFIL NUM. 4
CARACTERISTICAS MACROMORFOLOGICAS
Clasificación: Regosol calcárico.
Fecha de observación: Mayo 1991.
Provincia: Murcia.
Situación: 1,5 Km al Norte del Km 87 de la N-432.
Hoja topográfica: 974.
Coordenadas: 5997-41638.
Altitud: 690 m.
Posición fisiográfica: Pequeña vaguada.
Forma del terreno circundante: Fuertemente ondulado.
Pendiente: Clase 1. Llano o casi llano.
Orientación: Ligeramente al Norte.
Vegetación o Uso: Almendros. Matorral-pastizal.
Material original: Filitas en zonas de aporte.
Drenaje: Clase 2. Imperfectamente drenado.
Condiciones de humedad: Húmedo todo el perfil.
Pedregosidad: Clase 1. Moderadamente pedregoso.
Afloramientos rocosos: Clase 2. Rocoso.
Erosión: Severa. Surcos y cárcavas.
Hor. Prof. cm. Descripción
| Ah | 0-20 | Color gris oscuro (2.5V 4/1) en húmedo, gris claro (2,5V 6/1) en seco. Textura, franco arenosa. Estructura débil, migajosa media. Ligeramente adherente, no plástico, muy friable y blando. No aparecen cútanes. Poros pocos a frecuentes, muy finos, discontinuos, caóticos, exped y tubulares. Fragmentos rocosos frecuentes, filitas y cuarcitas angulares poco alteradas. No hay nódulos. Fuertemente calcáreo. Raíces pocas, finas y muy finas. Límite neto y plano. |
| C | 20-60 | Filitas muy alteradas. |
RESULTADOS ANALITICOS

FICHA CLIMATICA DEL PERFIL

PERFIL NUM. 5
CARACTERISTICAS MACROMORFOLOGICAS
Clasificación: Regosol calcárico.
Fecha de observación: Mayo 1991.
Provincia: Murcia.
Situación: 500 m. al Noreste del Km. 86 de la N-342.
Hoja topográfica: 974.
Coordenadas: 6007-41617.
Altitud: 650 m.
Posición fisiográfica: Pendiente cóncava. Próxima a la cima.
Forma del terreno circundante: Colinado.
Pendiente: Clase 3. Inclinado.
Orientación: Sur.
Vegetación o Uso: Matorral-pastizal. Pequeñas zonas de almendros.
Material original: Conglomerados.
Drenaje: Clase 5. Algo excesivamente drenado.
Condiciones de humedad: Seco todo el perfil.
Pedregosidad: Clase 2. Muy pedregoso.
Afloramientos rocosos: Clase 1. Moderadamente rocoso.
Erosión: Moderada, surcos y cárcavas.
Hor. Prof. cm. Descripción
| Ap1 | 0-17 | Color pardo amarillento oscuro en húmedo (10YR 3/4) y gris pardo claro en |
| seco (10YR 6/2). Textura franca arenosa. Estructura, moderada, migajosa | ||
| fina. No adherente, no plástico, muy friable y suelto. No aparecen cútanes. | ||
| Poros, frecuentes, muy finos, continuos, caóticos, exped y tubulares. | ||
| Fragmentos rocosos frecuentes, esquistos y cuarcitas, angulares y | ||
| subangulares medianamente alteradas, grava fina. No hay nódulos. | ||
| Fuertemente calcáreo. Raíces comunes, finas y medianas. Límite gradual y | ||
| plano. | ||
| Ap2 | 17-34 | Color pardo (7,5YR 5/4) en húmedo, pardo claro (7,5YR 6/4) en seco. Textura |
| franca. Estructura, débil, granular fina. No adherente, no plástica, friable y | ||
| blando. No aparecen cútanes. Poros pocos, muy finos, discontinuos, caóticos, | ||
| exped y tubulares. Fragmentos rocosos frecuentes, esquistos y cuarcitas, | ||
| angulares y subangulares, bastante alterados, grava fina. Nódulos no tiene. | ||
| Fuertemente calcáreo. Raíces pocas finas. Límite neto y plano. | ||
| C1 | 34-60 | Color pardo (7,5YR 5/2) en húmedo, pardo claro (7,5YR 6/3) en seco. Textura |
| franca. Estructura aglomerada. No adherente, ligeramente plástica, friable, | ||
| ligeramente dura. No poroso. Fragmentos rocosos, pocos, esquistos | ||
| angulares, bastante alterados. Raíces muy pocas muy finas. Límite inferior | ||
| neto y plano. | ||
| C2 | 60-100 | Conglomerado muy duro y cementado. |
| 50 |
RESULTADOS ANALITICOS

FICHA CLIMATICA DEL PERFIL

PERFIL NUM. 6
CARACTERISTICAS MACROMORFOLOGICAS
Clasificación: Regosol calcárico.
Fecha de observación: Mayo 1991.
Provincia: Murcia.
Situación: 2 km. al Sur del km. 92 de la N-342 (área Cortijo de Las Francesas).
Hoja topográfica: 974.
Coordenadas: 5962-4162.
Altitud: 740 m.
Posición fisiográfica: Pendiente cóncava (pequeña cima).
Forma del terreno circundante: Colinado.
Pendiente: Clase 2. Inclinado.
Orientación: Suroeste.
Vegetación o Uso: Almendros. Pastizal-matorral.
Material original: Cuarcitas.
Drenaje: Clase 3. Moderadamente bien drenado.
Condiciones de humedad: Seco todo el perfil.
Pedregosidad: Clase 0. Sin piedras o con muy pocas.
Afloramientos rocosos: Clase 1. Moderadamente rocoso.
Erosión: Surcos y cárcavas. Moderada a leve.
Hor. Prof. cm. Descripción
| Ah | 0-20 | Color pardo grisáceo oscuro (10YR 4/2) en húmedo y gris parduzco claro |
| (10YR 6/2) en seco. Textura, franca arenosa. Estructura, débil, migajosa, | ||
| media. No adherente, no plástica, muy friable, blando. No aparecen cútanes. | ||
| Poros, pocos a frecuentes, finos, discontinuos, caóticos, exped e | ||
| intersticiales. Fragmentos rocosos, frecuentes, esquistos y cuarcitas, | ||
| angulares y subangulares, poco alterados, grava fina. Nódulos no presenta. | ||
| Fuertemente calcáreo. Raíces comunes, finas y muy finas. Límite neto y | ||
| plano. | ||
| AC | 20-40 | Color pardo (7,5YR 5/3) en húmedo y rosado (7,5YR 7/3) en seco. Textura, |
| franco arenosa. Estructura aglomerada. No adherente, no plástica, friable, | ||
| ligeramente dura. No aparecen cútanes. Prácticamente no poroso. | ||
| Fragmentos rocosos, abundantes, planos y tabulares, angulares, alterados, | ||
| grava fina. Sin nódulos. Fuertemente calcáreo. Raíces pocas muy finas. | ||
| Límite gradual y plano. | ||
| C | 40-70 | Cuarcitas muy alteradas. |
| R | >70 | Cuarcitas no alteradas. |
RESULTADOS ANALITICOS

FICHA CLIMATICA DEL PERFIL

PERFIL NUM. 11
CARACTERISTICAS MACROMORFOLOGICAS
Clasificación: Regosol calcárico.
Fecha de observación: Mayo 1991.
Provincia: Almería.
Situación: 2 Km. al Sur de Cerro Roldán. Area Cortijo Calabuche.
Hoja topográfica: 974.
Coordenadas: 5807-4156.
Altitud: 1100 m.
Posición fisiográfica: Pendiente cóncava.
Forma del terreno circundante: Colinado.
Pendiente: Clase 3. Inclinado.
Orientación: Sur.
Vegetación o Uso: Almendros.
Material original. Cuarcitas con filitas.
Drenaje: Clase 4. Bien drenado.
Condiciones de humedad: Seco todo el perfil.
Pedregosidad: Clase 2. Pedregoso.
Afloramientos rocosos: Clase 1. Moderadamente rocoso.
Erosión: Moderada. Surcos y cárcavas.
Hor. Prof. cm. Descripción
| Ap | 0-22 | Color pardo grisáceo (2.5YR 4/2) en húmedo y gris claro (2.5YR 7/2) en seco. |
| Textura, arenosa franca. Estructura, moderada, migajosa media. No | ||
| adherente, no plástica, muy friable y blando. No aparecen cútanes. Poros | ||
| frecuentes, finos, caóticos, exped e intersticiales. Fragmentos rocosos, | ||
| abundantes, filitas y cuarcitas, planas y tabulares, angulares, muy alteradas, | ||
| grava. No se presentan nódulos. Calcáreo. Raíces abundantes finas y | ||
| medianas. Límite neto y plano. | ||
| AC | 22-40 | Cuarcitas muy alteradas. fragmentos rocosos, abundantes, filitas y cuarcitas, |
| planas y tabulares, angulares, muy alteradas, grava. Calcáreo. Raíces | ||
| comunes, finas y medias. Límite gradual y plano. | ||
| R | 40-80 | Cuarcitas. |
RESULTADOS ANALITICOS

FICHA CLIMATICA DEL PERFIL

PERFIL NUM. 13
CARACTERISTICAS MACROMORFOLOGICAS
Clasificación: Regosol calcárico.
Fecha de observación: Mayo 1991.
Provincia: Almería.
Situación: Camino Lizarán-Bolaini.
Hoja topográfica: 974.
Coordenadas: 5794-41634.
Altitud: 930 m.
Posición fisiográfica: Pendiente cóncava.
Forma del terreno circundante: Colinado.
Pendiente: Clase 2. Suavemente inclinado.
Orientación: Noreste.
Vegetación o Uso: Matorral-espartal con un 50-60% de cobertura.
Material original: Filitas con cuarcitas.
Drenaje: Clase 4. Bien drenado.
Condiciones de humedad; Seco todo el perfil.
Pedregosidad: Clase 2. Pedregoso.
Afloramientos rocosos: Clase 1. Moderadamente rocoso.
Erosión; Surcos y cárcavas, moderada.
Hor. Prof. cm. Descripción
| Ah | 0-30 | Color pardo rojizo (5YR 4/4) en húmedo y gris rosado (5YR 6/2) en seco. |
| Textura, franca. Estructura moderada, granular fina. Ligeramente adherente, | ||
| no plástica, friable, dura. No aparecen cútanes. Poros, pocos, finos, | ||
| discontinuos, caóticos, exped e intersticiales. Fragmentos rocosos, | ||
| frecuentes, filitas y cuarcitas, planas y tabulares, angulares, algo alteradas, | ||
| grava. Nódulos no hay. Fuertemente calcáreo. Raíces pocas, muy finas. | ||
| Límite neto y plano. | ||
| R | >30 | Cuarcitas alteradas. |
RESULTADOS ANALITICOS

FICHA CLIMATICA DEL PERFIL

PERFIL NUM. 14
CARACTERISTICAS MACROMORFOLOGICAS
Clasificación: Regosol calcárico.
Fecha de observación: Mayo 1991.
Provincia: Almería.
Situación: C/ C-321, 3 km. al Este del km. 8, zona al Oeste de Alquería.
Hoja topográfica: 974.
Coordenadas: 5883-41604.
Altitud: 900 m.
Posición fisiográfica: Pendiente cóncava.
Forma del terreno circundante: Colinado.
Pendiente: Clase 3. Inclinado.
Orientación: Este.
Vegetación o Uso: Matorral de baja cobertura. Almendros y cebada.
Material original. Filitas.
Drenaje: Clase 4. Bien drenado.
Condiciones de humedad: Seco todo el perfil.
Pedregosidad: Clase 1. Moderadamente pedregoso.
Afloramientos rocosos: Clase 1. Moderadamente rocoso.
Erosión: Surcos y cárcavas, moderada.
Hor. Prof. cm. Descripción
| Ap | 0-24 | Color gris (2.5V 5/1) en húmedo y gris claro (2.5Y 7/1) en seco. Textura, |
| franco arenosa. Estructura débil, migajosa media. No adherente, no plástica, | ||
| muy friable, ligeramente dura. No aparecen cútanes. Poros, pocos, muy finos, | ||
| discontinuos, caóticos exped e intersticiales. Fragmentos rocosos, frecuentes, | ||
| filitas, tabulares, angulares, no alteradas grava. Nódulos. Fuertemente | ||
| calcáreo. Raíces muy pocas y muy finas. Límite neto y plano. | ||
| R | >24 | Filitas. |
RESULTADOS ANALITICOS

FICHA CLIMATICA DEL PERFIL

PERFIL NUM. 16
CARACTERISTICAS MACROMORFOLOGICAS
Clasificación: Regosol calcárico.
Fecha de observación: Mayo 1991.
Provincia: Almería.
Situación: 1 km. al Este de Abejuela.
Hoja topográfica: 974.
Coordenadas: 5973-4152.
Altitud: 720 m.
Posición fisiográfica: Pendiente cóncava.
Forma del terreno circundante: Colinado.
Pendiente: Clase 3. Inclinado.
Orientación: Sur.
Vegetación o Uso: Matorral espartizal, albaidal.
Material original. Conglomerados y areniscas.
Drenaje: Clase 5. Algo excesivamente drenado.
Condiciones de humedad: Seco todo el perfil.
Pedregosidad: Clase 2. Pedregoso.
Afloramientos rocosos: Clase 1. Moderadamente rocoso.
Erosión: Surcos y cárcavas, moderada.
Hor. Prof. cm. Descripción
| Ah | 0-30 | Color pardo rojizo oscuro (5YR 3/6) en húmedo, rojo amarillento (5YR 5/6) en seco. Textura, franco arenosa. Estructura, granular fina, moderada. No adherente, no plástica, muy friable y blanda. No aparecen cútanes. Poros, frecuentes, finos, continuos, exped e intersticiales. Fragmentos rocosos abundantes, esquistos y cuarcitas, planas y tabulares, no alteradas, grava. Nódulos no presenta. Calcáreo. Raíces comunes, finas. Límite inferior neto y plano. |
| C | 30-60 | Conglomerado muy alterado. Textura, franco arenosa. |
RESULTADOS ANALITICOS

FICHA CLIMATICA DEL PERFIL

PERFIL NUM. 17
CARACTERISTICAS MACROMORFOLOGICAS
Clasificación: Regosol calcárico.
Fecha de observación: Mayo 1991.
Provincia: Almería.
Situación: C/ desde Urcal hasta la Ermita La Fuensanta, 1.2 km. al Sur de la Ermita.
Hoja topográfica: 974.
Coordenadas: 5933-4152.
Altitud: 760 m.
Posición fisiográfica: Pendiente cóncava próxima a la cima.
Forma del terreno circundante: Colinado.
Pendiente: Clase 3. Inclinado.
Orientación: Oeste.
Vegetación o Uso: Matorral-espartizal, albaidal.
Material original. Conglomerado.
Drenaje: Clase 4. Algo excesivamente drenado.
Condiciones de humedad: Seco todo el perfil.
Pedregosidad: Clase 2. Pedregoso.
Afloramientos rocosos: Clase 1. Moderadamente rocoso.
Erosión: Surcos y cárcavas, severa.
Hor. Prof. cm. Descripción
| Ah | 0-17 | Color pardo oscuro (7.5YR 5/4) en húmedo, pardo (7.5YR 6/3) en seco. |
| Textura, franco arenosa. Estructura, moderada, granular fina. No adherente, | ||
| no plástica, muy friable, blando. Poros, frecuentes, finos, discontinuos, | ||
| caóticos, exped e intersticiales. No aparecen cútanes. Fragmentos rocosos, | ||
| frecuentes, grava. Nódulos no tiene. Calcáreo. Raíces comunes, finas. Límite, | ||
| neto y plano. | ||
| AC | 17-41 | Color pardo (7.5YR 5/4) en húmedo, rosado (7.5YR 7/3) en seco. Textura, |
| franco arenosa. Estructura, aglomerada. No adherente, no plásticas, friable, | ||
| ligeramente duro. No aparecen cútanes. No poroso. Fragmentos rocosos, | ||
| frecuentes, grava. Nódulos no tiene. Fuertemente calcáreo. Raíces pocas | ||
| finas. Límite gradual y plano. | ||
| Cmk | 41-60 | Conglomerado alterado. |
RESULTADOS ANALITICOS

FICHA CLIMATICA DEL PERFIL

PERFIL NUM. 20
CARACTERISTICAS MACROMORFOLOGICAS
Clasificación: Regosol calcárico.
Fecha de observación: Mayo 1991.
Provincia: Almería.
Situación: N-342, Km 112. Camino hacia el Norte. Area de los Oquendos.
Hoja topográfica: 974.
Coordenadas: 5775-41675.
Altitud: 960 m.
Posición fisiográfica: Pendiente cóncava.
Forma del terreno circundante: Colinado.
Pendiente: Clase 3. Inclinado.
Orientación: Sur.
Vegetación o Uso: Matorral claro y áreas de almendros.
Material original. Glacis.
Drenaje: Clase 4. Bien drenado.
Condiciones de humedad: Seco todo el perfil.
Pedregosidad: Clase 2. Pedregoso.
Afloramientos rocosos: Clase 2. Rocoso.
Erosión: Surcos y cárcavas. Moderada.
Hor. Prof. cm. Descripción
| Ap | 0-20 | Color pardo amarillento oscuro (10YR 4/3) en húmedo y gris parduzco claro |
| (10YR 6/2) en seco. Textura, franco limosa. Estructura, migajosa fina, | ||
| moderada. Adherente, ligeramente plástico, friable y ligeramente duro. Poros, | ||
| frecuentes, finos, continuos, caóticos, exped y tubulares. No contiene | ||
| fragmentos rocosos. No hay nódulos. Fuertemente calcáreo. Raíces, | ||
| frecuentes y finas. Límite gradual y plano. | ||
| Ah | 0-25 | Color pardo oscuro (7.5YR 4/6) en húmedo y amarillo rojizo (7.5YR 6/6) en |
| seco. Textura, franca. Estructura, moderada, migajosa media. Ligeramente | ||
| adherente, ligeramente plástico, muy friable y blando. No aparecen cútanes. | ||
| Poros, frecuentes, finos, continuos, caóticos, exped y tubulares. Fragmentos | ||
| rocosos, abundantes, grava. No hay nódulos. Fuertemente calcáreo. Raíces, | ||
| comunes, finas y medianas. Límite, brusco y plano. | ||
| Cmk | 25-60 | Zona de encostramiento en varias capas. |
RESULTADOS ANALITICOS

FICHA CLIMATICA DEL PERFIL

PERFIL NUM. 21
CARACTERISTICAS MACROMORFOLOGICAS
Clasificación: Regosol calcárico.
Fecha de observación: Mayo 1991.
Provincia: Almería.
Situación: Camino de la N-342 a los Asensios (área de Los Treinta).
Hoja topográfica: 974.
Coordenadas: 5743-41683.
Altitud: 1.130 m.
Posición fisiográfica: Pendiente cóncava.
Forma del terreno circundante: Fuertemente ondulado.
Pendiente: Clase 3. Inclinado.
Orientación: Sur.
Vegetación o Uso: Almendros.
Material original: Cuaternario. Glacis. Costras.
Drenaje: Clase 4. Bien drenado.
Condiciones de humedad: Seco todo el perfil.
Pedregosidad: Clase 2. Pedregoso.
Afloramientos rocosos: Clase 2. Rocoso.
Erosión: No detectable.
Hor. Prof. cm. Descripción
| Ap | 0-18 | Color pardo oscuro (7.5YR 4/4) en húmedo y rosado (7.5YR 7/3) en seco. |
| Textura, franca. Estructura, moderada a débil, migajosa media. Ligeramente | ||
| adherente, ligeramente plástico, muy friable, ligeramente duro. No aparecen | ||
| cútanes. Poros, pocos a frecuentes, finos, continuos, caóticos, exped e | ||
| intersticiales. Fragmentos rocosos abundantes, calizas angulares no | ||
| alteradas. Nódulos no se presentan. Fuertemente calcáreo. Raíces comunes | ||
| finas y medianas. Limite, brusco y plano. | ||
| Cmk | 18-60 | Costra calcárea, dura y zonada. |
RESULTADOS ANALITICOS

FICHA CLIMATICA DEL PERFIL

PERFIL NUM. 22
CARACTERISTICAS MACROMORFOLOGICAS
Clasificación: Regosol calcárico.
Fecha de observación: Mayo 1991.
Provincia: Almería.
Situación: Camino de Bancalejo a Albox, área al Sur del Morrón de Caparros.
Hoja topográfica: 974.
Coordenadas: 5763-41557.
Altitud: 1.100 m.
Posición fisiográfica: Pendiente cóncava.
Forma del terreno circundante: Fuertemente ondulado.
Pendiente: Clase 3. Inclinado.
Orientación: Sur.
Vegetación o Uso: Matorral, almendros.
Material original. Piedemonte calcáreo.
Drenaje: Clase 4. Bien drenado.
Condiciones de humedad: Seco todo el perfil.
Pedregosidad: Clase 3. Muy pedregoso.
Afloramientos rocosos: Clase 2. Rocoso.
Erosión: Cárcavas y surcos, moderada.
Hor. Prof. cm. Descripción
| Ap | 0-23 | Color pardo oscuro (7.5YR 4/4) en húmedo, pardo claro (7.5YR 6/4) en seco. |
| Textura, franca. Estructura, moderada, granular media. Ligeramente | ||
| adherente, no plástico, muy friable, ligeramente duro. No aparecen cútanes. | ||
| Poros, pocos, frecuentes, finos, continuos, caóticos, exped e intersticiales. | ||
| Fragmentos rocosos abundantes, grava caliza, angulares no alterados. | ||
| Nódulos no hay. Fuertemente calcáreo. Raíces comunes a abundantes finas | ||
| y medianas. Límite neto y plano. | ||
| Cmk | 23-60 | Conglomerado duro y compacto con zonas de encostramiento. |
RESULTADOS ANALITICOS

FICHA CLIMATICA DEL PERFIL

Como continuación de los Regosoles calcáricos descritos anteriormente y en continuidad con los mismos se presentan estos suelos que tienen como única diferencia el estar libres de carbonatos pero presentando un alto grado de saturación de bases por lo que han sido clasificados como Regosoles eútricos.
En general estos suelos se presentan sobre cuarcitas y en ocasiones también sobre esquistos, pero siempre lejos de las proximidades de zonas de calizas, conglomerados o filitas.
Se han muestreado los perfiles 1, 7, 8, 25 y 26 cuyos datos morfológicos, analíticos y de clima se incluyen.
PERFIL NUM. 1
CARACTERISTICAS MACROMORFOLOGICAS
Clasificación: Regosol eútrico.
Fecha de observación: Mayo 1991.
Provincia: Almería.
Situación: N-342, Km. 101, 2 km. al Norte, área Umbría de Fuente Alegre.
Hoja topográfica: 974.
Coordenadas: 5882-41676.
Altitud: 840 m.
Posición fisiográfica: Pendiente cóncava.
Forma del terreno circundante: Colinado.
Pendiente: Clase 3. Inclinado.
Orientación: Oeste.
Vegetación o Uso: Almendros. Pinos, encinas, pastizal matorral.
Material original. Cuarcitas.
Drenaje: Clase 4. Bien drenado.
Condiciones de humedad: Húmedo a partir de 20 cm.
Pedregosidad: Clase 2. Pedregoso.
Afloramientos rocosos: Clase 1. Moderadamente rocoso.
Erosión: Moderada, surcos y cárcavas.
Hor. Prof. cm. Descripción
| Ah | 0-20 | Color pardo oscuro (7.5YR 4/6) en húmedo y pardo (7.5YR 5/6) en seco. Textura franco arenosa. Estructura moderada, migajosa fina. No adherente, no plástica, friable y ligeramente duro. No aparecen cútanes. Poros, frecuentes a muchos, finos, caóticos. Fragmentos rocosos, abundantes, angulosos, cuarcitas y micaesquistos, grava. Nódulos no hay. Raíces comunes, finas y medianas. Límite, gradual y plano. |
| C1 | 20-48 | Cuarcitas muy alteradas. Raíces, muy pocas, finas y muy finas. Límite difuso y plano. |
| C2 | >48 | Cuarcitas alteradas pero conservando su estructura. No enraizado. |
RESULTADOS ANALITICOS

FICHA CLIMATICA DEL PERFIL

PERFIL NUM. 7
CARACTERISTICAS MACROMORFOLOGICAS
Clasificación: Regosol eútrico.
Fecha de observación: Mayo 1991.
Provincia: Almería.
Situación: 1 km. al Oeste de los Gázquez.
Hoja topográfica: 974.
Coordenadas: 5908-41566.
Altitud: 980 m.
Posición fisiográfica: Pendiente cóncava.
Forma del terreno circundante: Colinado.
Pendiente: Clase 3. Inclinado.
Orientación: Oeste.
Vegetación o Uso: Almendros.
Material original. Esquistos y cuarcitas.
Drenaje: Clase 4. Bien drenado.
Condiciones de humedad: Seco todo el perfil.
Pedregosidad: Clase 1. Moderadamente pedregoso.
Afloramientos rocosos: Clase 1. Moderadamente rocoso.
Erosión: Surcos y cárcavas, moderada.
Hor. Prof. cm. Descripción
| Ap | 0-23 | Color pardo amarillento oscuro (10YR 4/4) en húmedo y pardo amarillento (10YR 5/4) en seco. Textura, franca arenosa gruesa. Estructura, moderada, migajosa media. Ligeramente adherente, ligeramente plástica, firme y ligeramente dura. No aparecen cútanes. Poros muy pocos, muy finos. Fragmentos rocosos, abundantes, cuarcitas y esquistos, tabulares y planas, angulares y subangulares, poco alteradas, grava. Nódulos no hay. No calcáreo. Raíces pocas finas. Límite neto y plano. |
| AC | 23-50 | Color pardo amarillento oscuro (10YR 3/4) en húmedo y pardo amarillento (10YR 5/4) en seco. Textura, franco arenosa gruesa. Estructura, aglomerada. Ligeramente adherente, ligeramente plástica, firme y ligeramente dura. NO aparecen cútanes. Poros, muy pocos, muy finos. Fragmentos rocosos, abundantes, tabulares y planos, angulares y subangulares, bastante alterados, grava. Nódulos no se presentan. No calcáreo. Raíces muy pocas, muy finas. Límite neto y plano. |
| R | 50-100 | Cuarcitas. |
RESULTADOS ANALITICOS

FICHA CLIMATICA DEL PERFIL

PERFIL NUM. 8
CARACTERISTICAS MACROMORFOLOGICAS
Clasificación: Regosol eútrico.
Fecha de observación: Mayo 1991.
Provincia: Almería.
Situación: C-321, Vélez Rubio-Huercal Overa, km. 16; 300 m. al Oeste.
Hoja topográfica: 974.
Coordenadas: 5883-4155.
Altitud: 900 m.
Posición fisiográfica: Pendiente cóncava.
Forma del terreno circundante: Fuertemente socavado.
Pendiente: Clase 4. Moderadamente escarpado.
Orientación: Oeste.
Vegetación o Uso: Almendros.
Material original. Cuarcitas.
Drenaje: Clase 5. Algo excesivamente drenado.
Condiciones de humedad: Seco todo el perfil.
Pedregosidad: Clase 1. Moderadamente pedregoso.
Afloramientos rocosos: Clase 2. Rocoso.
Erosión: Surcos y cárcavas, moderada.
Hor. Prof. cm. Descripción
| Ah | 0-15 | Color pardo amarillento oscuro (10YR 4/4) en húmedo y pardo amarillento claro (10YR 6/4) en seco. Textura, franco arenosa. Estructura fuerte a moderada, migajosa media a granular fina. Ligeramente adherente, no plástico, muy friable y blando. No aparecen cútanes. Poros, frecuentes, finos, caóticos, exped e intersticiales. Fragmentos rocosos, abundantes, tridimensionales, angulares, no alterados, grava. No calcáreo. Raíces pocas, finas y medias. Límite brusco y plano. |
| R | 15-30 | Cuarcitas. |
RESULTADOS ANALITICOS

FICHA CLIMATICA DEL PERFIL

PERFIL NUM. 25
CARACTERISTICAS MACROMORFOLOGICAS
Clasificación: Regosol eútrico.
Fecha de observación: Mayo 1991.
Provincia: Almería.
Situación: Camino de Bancalejo hacia el Sur, a 2 km. del mismo.
Hoja topográfica: 974.
Coordenadas: 5780-41542.
Altitud: 1.080 m.
Posición fisiográfica: Pendiente cóncava.
Forma del terreno circundante: Fuertemente ondulado.
Pendiente: Clase 2. Suavemente inclinado.
Orientación: Oeste.
Vegetación o Uso: Matorral. Almendros.
Material original. Cuarcitas.
Drenaje: Clase 3. Moderadamente bien drenado.
Condiciones de humedad: Seco todo el perfil.
Pedregosidad: Clase 1. Moderadamente pedregoso.
Afloramientos rocosos: Clase 1. Moderadamente rocoso.
Erosión: Débil. Surcos y cárcavas.
Hor. Prof. cm. Descripción
| Ap | 0-20 | Color pardo amarillento oscuro (10YR 4/4) en húmedo, pardo amarillento |
| claro (10YR 6/4) en seco. Textura franco arenosa. Estructura débil, granular | ||
| fina. No adherente, no plástico, suelto, ligeramente duro. No aparecen | ||
| cútanes. Poros frecuentes, finos, discontinuos, caóticos, exped e | ||
| intersticiales. Fragmentos rocosos abundantes, cuarcitas, tabulares y | ||
| subangulares, ligeramente alteradas, grava. Nódulos no tiene. No calcáreo. | ||
| Raíces pocas y finas. Límite gradual y plano. | ||
| R | 37-70 | Color pardo (10YR 4/3) en húmedo, pardo pálido (10YR 6/3) en seco. Textura |
| franco arenosa. Estructura, aglomerada. No adherente, no plástico, friable, | ||
| duro. No aparecen cútanes. No poroso. Fragmentos rocosos abundantes, | ||
| cuarcitas, tabulares y subangulares, ligeramente alteradas, grava. Nódulos no | ||
| tiene. No calcáreo. Raíces, no hay. Límite neto y plano. | ||
| AC | 20-37 | Cuarcitas muy alteradas. |
RESULTADOS ANALITICOS

FICHA CLIMATICA DEL PERFIL

PERFIL NUM. 26
CARACTERISTICAS MACROMORFOLOGICAS
Clasificación: Regosol eútrico.
Fecha de observación: Mayo 1991.
Provincia: Almería.
Situación: Camino de Vélez Rubio a Taberno, desvio a Torrentes, 1 Km. al Sur de la ermita de Los
Torrentes.
Hoja topográfica: 974.
Coordenadas: 5847-41538.
Altitud: 980 m.
Posición fisiográfica: Pendiente cóncava.
Forma del terreno circundante: Colinado.
Pendiente: Clase 3. Inclinado.
Orientación : Sur.
Vegetación o Uso: Matorral Almendros.
Material original: Esquistos con granates.
Drenaje: Clase 4. Bien drenado.
Condiciones de humedad: Seco todo el perfil.
Pedregosidad: Clase 1. Moderadamente pedregoso.
Afloramientos rocosos: Clase 1. Moderadamente rocoso.
Erosión: Moderada. Surcos y carcavas.
Hor. Prof. cm. Descripción
| Ap | 0-18 | Color gris oscuro (10YR 4/1) en húmedo, pardo grisáceo claro (10YR 6/2) en seco. Textura, franco arenosa. Estructura débil, migajosa media. No adherente, no plástico, muy friable y blando. No aparecen cútanes. Poros frecuentes, finos, continuos, caóticos, exped e intersticiales. Fragmentos rocosos abundantes, micaesquistos, plano y tubulares, subangulares, poco alterados. Nódulos no hay. No calcáreo. Raíces, comunes, finas y medianas. Límite neto, plano-ondulado. |
| R | 18-50 | Cuarcitas y esquistos con granates. |
RESULTADOS ANALITICOS

FICHA CLIMATICA DEL PERFIL

Dentro de esta denominación se han englobado los suelos que presentan un horizonte A ócrico entre 10-20 cm. que descansan sobre el material original y que no presentan ningún otro horizonte diagnóstico y que han sido clasificados como Regosoles litosólicos, los cuales están sobre pendientes de la clase 4 ó 5 y por tanto sometidos a fuertes procesos de erosión.
En la Hoja se presentan tanto sobre materiales calcáreos, calizas y conglomerados, como sobre silícicos, cuarcitas, filitas y esquistos. Están ampliamente representados en la Hoja en asociación con Litosoles y Regosoles con los que existen multitud de interrelaciones, pasándose de unos a otros simplemente por un cambio en la pendiente.
Prácticamente están recubiertos por un matorral bastante claro con pequeñas zonas de encinar
o repoblaciones de pinos. No se ha considerado muestrear ningún perfil ya que gran número de las muestras de capa arable se pueden considerar como tales.
Constituyen un tipo de suelo que se encuentra en la Hoja en zonas puntuales, siempre en relación con macizos montañosos, Sierra de Saliente y María principalmente. Son pues de suelos de montaña con perfil sencillo y una profundidad de 25 cm. de media. El horizonte A es de carácter móllico y contiene abundantes fragmentos calizos descansando directamente sobre rocas calizas que contienen más de 40% de carbonato cálcico equivalente.
Son suelos claramente intrazonales ya que para su desarrollo se requiere una vegetación natural abundante que asegure el alto contenido en materia orgánica del horizonte superficial.
Se ha muestreado el perfil 12 cuyos datos analíticos se acompañan.
PERFIL NUM. 12
CARACTERISTICAS MACROMORFOLOGICAS
Clasificación: Rendsina órtica.
Fecha de observación: Mayo 1991.
Provincia: Almería.
Situación: Camino que atraviesa la Sierra del Saliente por el Collado de Muro.
Hoja topográfica: 974.
Coordenadas: 5763-41586.
Altitud: 1.200 m.
Posición fisiográfica: Pendiente cóncava.
Forma del terreno circundante: Montañoso.
Pendiente: Clase 4. Moderadamente escarpado.
Orientación : Este.
Vegetación o Uso: Matorral con áreas de encinar.
Material original: Calizas.
Drenaje: Clase 4. Bien drenado.
Condiciones de humedad: Seco todo el perfil.
Pedregosidad: Clase 3. Muy pedregoso.
Afloramientos rocosos: Clase 3. Muy rocoso.
Erosión: No detectable.
Hor. Prof. cm. Descripción
| Ah | 0-25 | Color pardo rojizo oscuro (5YR 3/3) en húmedo y pardo (7.5YR 5/3) en seco. |
| Textura, franca. Estructura moderada a fuerte, granular media. Ligeramente | ||
| adherente, ligeramente plástica, friable y ligeramente dura. No aparecen | ||
| cútanes. Poros, frecuentes, finos, discontinuos, caóticos, exped e | ||
| intersticiales. Fragmentos rocosos, abundantes, caliza, tridimensional, no | ||
| alterada, grava. Nódulos no tiene. Calcáreo. Raíces pocas, finas. Límite | ||
| gradual ondulado. | ||
| R | >25 | Dolomías. |
RESULTADOS ANALITICOS

FICHA CLIMATICA DEL PERFIL

Con esta denominación se designan aquellos suelos con régimen de humedad arídico y un horizonte A ócrico débil y que tienen además uno o más de los siguientes horizontes diagnósticos: cámbico, argílico, cálcico o gípsico.
En la Hoja los Xerosoles presentes, que están en áreas muy reducidas, se corresponde a los que presenta un horizonte Bw cámbico o Bk cálcico, y se han clasificado como Xerosoles háplicos y Xerosoles cálcicos respectivamente.
El desarrollo de estos suelos siempre están en relación con superficies llanas o semillanas con una pedregosidad variable, textura franca en los horizontes superiores y mala estructuración.
Dada su escasa representación en la Hoja no se ha considerado muestrear ningún perfil.
Estos suelos presentan un desarrollo A-B-C- con un horizonte a ócrico, pobre en materia orgánica, al que sigue un horizonte B cámbico en ocasiones con los caracteres no muy claramente manifestados, pero en cualquier caso presentes. Tanto este horizonte como el A presentan un cierto lavado de carbonato cálcico produciéndose una ligera acumulación en profundidad dando lugar a la presencia de un horizonte cálcico por lo que se han clasificado como Cambisoles cálcicos, corresponden a los perfiles 10, 15 y 18.
Se trata de suelos de 60-70 cm. de profundidad y se desarrollan sobre conglomerados e incluso sobre materiales metamórficos con aporte de carbonatos.
Las pendientes corresponden a la clase 3, inclinado, y presentan una cierta pedregosidad en superficie.
Su presencia en la Hoja no es muy frecuente dada la morfología de la misma y forma parte de varias unidades generalmente a nivel de inclusión.
Dentro de este tipo de suelos destaca la presencia de Cambisoles con bajo o nulo contenido en carbonatos pero que tienen más del 50% de saturación en bases y que han sido clasificados como Cambisoles eútricos, perfiles 19 y 27.
Morfológicamente presenta los mismos caracteres que el anterior aunque están desarrollados sobre cuarcitas preferentemente, también aumenta el contenido en arcilla, sensiblemente superior al de los Cambisoles cálcicos.
Las áreas de estos suelos se dedican preferentemente a cereales y almendros.
PERFIL NUM. 10
CARACTERISTICAS MACROMORFOLOGICAS
Clasificación: Cambisol cálcico.
Fecha de observación: Mayo 1991.
Provincia: Almería.
Situación: Camino Vélez Rubio-Taberno desvío al Cortijo Calderón, 600 m. del desvío (área de
Cortijo Los Cayuelas).
Hoja topográfica: 974.
Coordenadas: 5825-41575.
Altitud: 1.120 m.
Posición fisiográfica: Pendiente cóncava.
Forma del terreno circundante: Fuertemente ondulado.
Pendiente: Clase 3. Inclinado.
Orientación : Sur.
Vegetación o Uso: Almendros, pequeñas áreas de pastizal-matorral.
Material original: Cuarcitas con filitas.
Drenaje: Clase 3. Moderadamente bien drenado.
Condiciones de humedad: Semihúmedo.
Pedregosidad: Clase 0. Sin piedras o con muy pocas.
Afloramientos rocosos: Clase 1. Moderadamente rocoso.
Erosión: Surcos y cárcavas, moderada.
Hor. Prof. cm. Descripción
| Ah | 0-18 | Color pardo (10YR 4/3) en húmedo y gris pardo claro (10YR 6/2) en seco. |
| Textura, franco arenosa. Estructura, moderada, migajosa fina. Ligeramente | ||
| adherente, no plástico, muy friable y blando. No aparecen cútanes. Poros, | ||
| frecuentes, finos, continuos, caóticos, exped e intersticiales. Fragmentos | ||
| rocosos, frecuentes, filitas y cuarcitas, planas y tabulares, angulares, poco | ||
| alteradas, grava. Calcáreo. Raíces comunes finas y medianas. Límite gradual | ||
| y plano. | ||
| Bw | 18-40 | Color pardo grisáceo oscuro (10YR 4/2) en húmedo y gris pardo claro (10YR |
| 6/2) en seco. Textura, franco arenosa. Estructura, débil a moderada, granular | ||
| fina. Ligeramente adherente, no plástico, friable, ligeramente duro. No | ||
| aparecen cútanes. Poros, muy finos, discontinuos, caóticos, exped e | ||
| intersticiales. Fragmentos rocosos, frecuentes, filitas y cuarcitas, planas y | ||
| tabulares, angulares, medianamente alteradas, grava. Calcáreo. Raíces | ||
| pocas finas y muy finas. Límite neto y plano. | ||
| C1 | 40-70 | Cuarcitas muy alteradas. |
| C2 | >70 | Cuarcitas alteradas. |
RESULTADOS ANALITICOS

FICHA CLIMATICA DEL PERFIL

PERFIL NUM. 15
CARACTERISTICAS MACROMORFOLOGICAS
Clasificación: Cambisol cálcico.
Fecha de observación: Mayo 1991.
Provincia: Murcia.
Situación: Ladera Norte del Cerro Jara.
Hoja topográfica: 974.
Coordenadas: 5962-41558.
Altitud: 980 m.
Posición fisiográfica: Pendiente cóncava.
Forma del terreno circundante: Fuertemente socavado.
Pendiente: Clase 4. Moderadamente escarpado.
Orientación : Norte.
Vegetación o Uso: Encinar con matorral.
Material original: Conglomerado. Derrubios de ladera.
Drenaje: Clase 3. Moderadamente bien drenado.
Condiciones de humedad: Ligeramente húmedo.
Pedregosidad: Clase 2. Pedregoso.
Afloramientos rocosos: Clase 2. Rocoso.
Erosión: Ligera. Abarrancamientos.
Hor. Prof. cm. Descripción
| Ah | 0-23 | Color pardo rojizo oscuro (5YR 3/4) en húmedo y rojo amarillento (5YR 5/6) en |
| seco. Textura, franca. Estructura, fuerte, granular fina. Ligeramente adherente, | ||
| ligeramente plástico, muy friable y ligeramente duro. No aparecen cútanes. | ||
| Poros, finos, continuos, caóticos, exped e intersticiales. Fragmentos rocosos, | ||
| frecuentes, calizas, tridimensional, no alteradas, grava. Nódulos, muy pocos y | ||
| muy pequeños, duros, esféricos. Calcáreo. Raíces, comunes, finas y gruesas. | ||
| Límite, neto y plano. | ||
| Bwk | 23-50 | Color pardo fuerte (7.5YR 5/6) en húmedo y rosado (7.5YR 7/4) en seco. Textura, |
| franco-arcillo-arenosa. Estructura, débil, bloques subangulares medios. | ||
| Ligeramente adherente, ligeramente plástica, firme y duro. No aparecen cútanes. | ||
| Poros, muy pocos, muy finos, discontinuos, caóticos, exped y tubulares. | ||
| Fragmentos rocosos, frecuentes, calizas, tridimensional, no alteradas, grava. | ||
| Nódulos, pocos, pequeños y grandes, duros y blandos, irregulares. Calcáreo. | ||
| Raíces, pocas, finas y medianas. Límite, gradual y plano. | ||
| BCk | 50-80 | Color pardo muy pálido (10YR 7/4) y blanco rosado (7.5YR 8/2) en seco. Textura, |
| franca. Estructura, débil, granular gruesa a aglomerada. No adherente, no | ||
| plástico, firme y duro. No hay cútanes. No poroso. Fragmentos rocosos, pocos, | ||
| calizas, tridimensional, no alteradas, grava. Nódulos, frecuentes, grandes, | ||
| blandos e irregulares. Fuertemente calcáreo. Raíces, muy pocas, finas y | ||
| medianas. Límite, neto y plano. | ||
| Cmk | 80-100 | Conglomerado duro y compacto. |
| 104 |
RESULTADOS ANALITICOS

FICHA CLIMATICA DEL PERFIL

PERFIL NUM. 18
CARACTERISTICAS MACROMORFOLOGICAS
Clasificación: Cambisol cálcico.
Fecha de observación: Mayo 1991.
Provincia: Almería.
Situación: N-342, 500 m. al Suroeste del Km. 117.
Hoja topográfica: 974.
Coordenadas: 5737-41635.
Altitud: 980 m.
Posición fisiográfica: Pendiente cóncava.
Forma del terreno circundante: Montañoso.
Pendiente: Clase 4. Moderadamente escarpado.
Orientación : Este.
Vegetación o Uso: Tomillar, aulagas, pinos, encinas.
Material original: Glacis.
Drenaje: Clase 4. Bien drenado.
Condiciones de humedad: Seco todo el perfil.
Pedregosidad: Clase 2. Pedregoso.
Afloramientos rocosos: Clase 2. Rocoso.
Erosión: Moderada, débil.
Hor. Prof. cm. Descripción
| Ah | 0-25 | Color pardo rojizo (5YR 4/4) en húmedo, pardo rojizo (5YR 5/4) en seco. |
| Textura, franco arenosa. Estructura, moderada, migajosa media. No | ||
| adherente, no plástica, muy friable, blando. No aparecen cútanes. Poros | ||
| frecuentes, finos, discontinuos, caóticos, exped e intersticiales. Fragmentos | ||
| rocosos, abundantes, grava. Nódulos no hay. Fuertemente calcáreo. Raíces | ||
| pocas, finas. Límite neto y plano. | ||
| Bw | 25-48 | Color pardo rojizo oscuro (5YR 3/6) en húmedo, pardo rojizo claro (5YR 6/3) |
| en seco. Textura, franca. Estructura, débil a moderada, granular media. | ||
| Ligeramente adherente, ligeramente duro. No aparecen cútanes. Poros muy | ||
| pocos. Fragmentos rocosos, frecuentes grava. Nódulos muy pocos, | ||
| pequeños, algunos micelios. Fuertemente calcáreo. Raíces muy pocas, muy | ||
| finas. Límite gradual, plano. | ||
| BCk | 48-75 | Color pardo (7.5YR 5/3) en húmedo, rosado (7.5YR 7/3) en seco. Textura, |
| franco arenosa. Estructura, aglomerada. No adherente, no plástica, firme, | ||
| muy duro. No aparecen cútanes. Poros no hay. Fragmentos rocosos, | ||
| frecuentes, grava. Nódulos frecuentes grandes, blandos e irregulares. | ||
| Fuertemente calcáreo. Raíces prácticamente no hay. Límite neto y plano. | ||
| C | 75-100 | Depósito de gravas bastante angulosas. Textura, franco-arenosa. |
RESULTADOS ANALITICOS

FICHA CLIMATICA DEL PERFIL

PERFIL NUM. 19
CARACTERISTICAS MACROMORFOLOGICAS
Clasificación: Cambisol eútrico.
Fecha de observación: Mayo 1991.
Provincia: Almería.
Situación: C/ Chirivel-Albox, área de El Rincón.
Hoja topográfica: 974.
Coordenadas: 5728-41594.
Altitud: 1150 m.
Posición fisiográfica: Planicie.
Forma del terreno circundante: Casi plano.
Pendiente: Clase 1. Llano o casi llano.
Orientación
Vegetación o Uso: Gramíneas. Algunas zonas con almendros.
Material original: Cuarcitas muy alteradas.
Drenaje: Clase 2. Imperfectamente drenado.
Condiciones de humedad: Húmedo a partir de 40 cm.
Pedregosidad: Clase 0. Sin piedras o con muy pocas.
Afloramientos rocosos: Clase 0. Ninguna o muy pocas rocas.
Erosión: No se detecta.
Hor. Prof. cm. Descripción
| Ap1 | 0-14 | Color pardo rojizo oscuro (5YR 3/3) en húmedo, pardo rojizo (5YR 4/4) en |
| seco. Textura, franca. Estructura, migajosa media fuerte. Ligeramente | ||
| adherente, ligeramente plástica, muy friable, blando. No aparecen cútanes. | ||
| Poros frecuentes, finos, continuos, caóticos, exped e intersticiales. | ||
| Fragmentos rocosos, frecuentes, grava, cuarcitas. Nódulos no aparecen. No | ||
| calcáreo. Raíces pocas finas. Límite gradual, plano. | ||
| Ap2 | 17-32 | Color pardo rojizo muy oscuro (5YR 2/3) en húmedo, pardo rojizo oscuro (5YR |
| 3/4) en seco. Textura, franca. Estructura, granular, fina débil. Ligeramente | ||
| adherente, ligeramente plástica, firme, duro. No aparecen cútanes. Poros | ||
| pocos, muy finos, discontinuos, caóticos, exped e intersticiales. Fragmentos | ||
| rocosos, abundantes grava. No calcáreo. Raíces muy pocas, muy finas. | ||
| Límite neto y ondulado. | ||
| Bw | 32-47 | Color pardo rojizo oscuro (5YR 3/6) en húmedo, pardo rojizo oscuro (5YR 3/6) |
| en seco. Textura, franca. Estructura, granular, gruesa, débil. Ligeramente | ||
| adherente, ligeramente plástica, firme, muy duro. Cútanes zonales delgados. | ||
| Poros muy pocos, micro, discontinuos, caóticos, exped e intersticiales. | ||
| Fragmentos rocosos, abundantes, grava. No calcáreo. No enraizado. Límite | ||
| gradual y ondulado. | ||
| C | 47-90 | Cuarcitas muy alteradas. |
| 110 |
RESULTADOS ANALITICOS

FICHA CLIMATICA DEL PERFIL

PERFIL NUM. 27
CARACTERISTICAS MACROMORFOLOGICAS
Clasificación: Cambisol eútrico.
Fecha de observación: Mayo 1991.
Provincia: Murcia.
Situación: Camino que sale del Km. 95 de la N-342 hacia el Norte, área de Cerro Reverte-Cerro
La Merced.
Hoja topográfica: 974.
Coordenadas: 5929-41666.
Altitud: 860 m.
Posición fisiográfica: Pendiente cóncava.
Forma del terreno circundante: Colinado.
Pendiente: Clase 3. Inclinado.
Orientación : Sur.
Vegetación o Uso: Matorral y encinas. Almendros.
Material original: Cuarcitas y filitas.
Drenaje: Clase 5. Algo excesivamente drenado.
Condiciones de humedad: Seco todo el perfil.
Pedregosidad: Clase 2. Pedregoso.
Afloramientos rocosos: Clase 2. Rocoso.
Erosión: Moderada. Cárcavas y surcos.
Hor. Prof. cm. Descripción
| Ah | 0-14 | Color pardo rojizo oscuro (5YR 3/6) en húmedo, rojo amarillento (5YR 4/6) en | ||||||
|---|---|---|---|---|---|---|---|---|
| seco. Textura franco arenosa. Estructura débil, granular fina. Ligeramente | ||||||||
| adherente, ligeramente plástico, suelto, blando. No aparecen cútanes. Poros | ||||||||
| frecuentes, finos, continuos, caóticos, exped e intersticiales. Fragmentos | ||||||||
| rocosos abundantes, cuarcitas y micaesquistos, tabulares y planos, angulares | ||||||||
| y subangulares, poco alterados, grava. Nódulos no tiene. Ligeramente | ||||||||
| calcáreo. Raíces pocas finas y medianas. Límite neto y plano. | ||||||||
| Bw | 14-30 | Color rojo oscuro (2.5YR 3/6) en húmedo, rojo (2.5YR 4/6) en seco. Textura, | ||||||
| franca. | Estructura, | débil, | granular | gruesa. | Ligeramente | adherente, | ||
| ligeramente plástico, friable, ligeramente duro. No aparecen cútanes. No | ||||||||
| poroso. Fragmentos rocosos frecuentes, cuarcitas y micaesquistos, tabulares | ||||||||
| y planos, angulares y subangulares, grava. Nódulos no hay. No calcáreo. | ||||||||
| Raíces muy pocas y muy finas. Limiten eto e interrumpido. | ||||||||
| R | 30-70 | Cuarcitas alteradas con algunos restos de filitas. | ||||||
RESULTADOS ANALITICOS

FICHA CLIMATICA DEL PERFIL

Estos suelos están poco representados en la Hoja, se desarrollan sobre cuarcitas o áreas de relleno de materiales calcáreos.
Son suelos con altos contenidos en arcillas, lo que da lugar a la presencia de horizontes B argílicos, además y dadas las superficies sobre las que se presentan, son relativamente profundos 80-100 cm. ya que están desarrollados sobre superficies llanas o suavemente inclinadas.
El contenido en materia orgánica es bajo y presentan contenidos variables de grava. Los valores de capacidad de cambio son medios-bajos, presentando valores de agua útil aceptables.
Estas zonas se dedican a cebada y almendros y puntualmente a matorral muy claro.
Se han muestreado los perfiles 9 y 24 cuyos datos morfológicos, analíticos y de clima se incluyen.
PERFIL NUM. 9
CARACTERISTICAS MACROMORFOLOGICAS
Clasificación: Luvisol crómico.
Fecha de observación: Mayo 1991.
Provincia: Almería.
Situación: C/ a Taberna, junto desvío a Bolaini.
Hoja topográfica: 974.
Coordenadas: 5838-41643.
Altitud: 940 m.
Posición fisiográfica: Pequeña cima.
Forma del terreno circundante: Fuertemente ondulada.
Pendiente: Clase 2. Suavemente inclinado.
Orientación : Este.
Vegetación o Uso: Cebada, almendros.
Material original: Cuarcitas con filitas.
Drenaje: Clase 2. Imperfectamente drenado.
Condiciones de humedad: Húmeda todo el perfil.
Pedregosidad: Clase 1. Moderadamente pedregoso.
Afloramientos rocosos: Clase 1. Moderadamente rocoso.
Erosión: Moderada, surcos y cárcavas.
Hor. Prof. cm. Descripción
| Ap | 0-15 | Colar parda rojizo oscuro (2.5YR 3/4) en húmeda y pardo rojizo (2.5YR 4/4) en seco. Textura, franca arcillosa. Estructura moderada a fuerte, granular media. Adherente, plástico, friable, ligeramente dura. No aparecen cútanes. Paros, pacas, finos, continuos, caóticos, exped e intersticiales. Fragmentas rocosas, abundantes, cuarcitas y filitas, tabulares y planas, angulares y subangulares, grava. No calcáreo. Raíces muy pocas, muy finas. Límite neta y plano. |
| Bt | 15-30 | Calor pardo rojiza oscuro (10YR 3/4) en húmedo y rajo (2.5YR 4/6) en seco. Textura, arcillosa. Estructura, fuerte, bloques subangulares finos. Muy adherente, muy plástica, firme y duro. Cútanes, discontinuos, delgadas, minerales arcillosos con óxidos de hierra. Paras, muy pocos, muy finos discontinuos, caóticos, exped e intersticiales. Fragmentos rocosas, abundantes, cuarcitas y filitas, tabulares y planos, angulares y subangulares, medianamente alteradas, grava-gravilla. No calcáreo. Raíces muy pacas, muy finas. Límite neta y ondulado. |
| C1 | 30-55 | Cuarcitas muy alteradas. |
| C2 | >55 | Cuarcitas alteradas. |
RESULTADOS ANALITICOS

FICHA CLIMATICA DEL PERFIL

PERFIL NUM. 24
CARACTERISTICAS MACROMORFOLOGICAS
Clasificación: Luvisol cálcico.
Fecha de observación: Mayo 1991.
Provincia: Almería.
Situación: Km. 1 de la C-321, Vélez Rubio-Huercal Overa.
Hoja topográfica: 974.
Coordenadas: 5873-4167.
Altitud: 900 m.
Posición fisiográfica: Ligera depresión.
Forma del terreno circundante: Casi plano.
Orientación : Ligera hacia el Este.
Vegetación o Uso: Matorral muy clara. Almendros y cebada.
Material original: Cuarcitas.
Drenaje: Clase 2. Imperfectamente drenada.
Condiciones de humedad: Húmedo a partir de 35 cm.
Pedregosidad: Clase 0. Sin piedras o con muy pocas.
Afloramientos rocosos: Clase 0. Ninguna o muy pocas rocas.
Erosión: Zona de acumulación.
Hor. Prof. cm. Descripción
| Ap | 0-20 | Color rajo amarillento oscura (5YR 3/6) en húmedo, rojo amarillento (5YR 5/6) en |
| seco. Textura, franca. Estructura, moderada granular fina. Ligeramente | ||
| adherente, ligeramente plástica, muy friable, ligeramente duro. No aparecen | ||
| cútanes. Poros, frecuentes, finas, continuos, caóticas, exped e intersticiales. | ||
| Fragmentos rocosas, pacos, cuarcitas y micaesquistos, tabulares y planas, | ||
| subangulares, bastante alterados. Nódulos no aparecen. Ligeramente calcárea. | ||
| Raíces, comunes, finas y medianas. Límite neto y plano. | ||
| Bt | 20-35 | Colar pardo rojizo oscuro (2.5YR 3/4) en húmedo, pardo rojizo (2.5YR 4/6) en |
| seco. Textura, franco arcillosa. Estructura, moderada, granular media. | ||
| Adherente, plástica, friable y duro. No aparecen cútanes. Poros, frecuentes a | ||
| pacas, muy finos, discontinuos, caóticos, exped e intersticiales. Fragmentos | ||
| rocosos, frecuentes cuarcitas y micaesquistos, tabulares y planos, subangulares, | ||
| bastante grandes, irregulares y duras. Micelios. Calcáreo. Raíces, pocas y finas. | ||
| Límite gradual y ondulado. | ||
| BCk | 35-50 | Color rojo amarillento (5YR 5/8) en húmedo, rosado (5YR 7/3) en seco. Textura, |
| franco limosa. Estructura, aglomerada. Ligeramente adherente, ligeramente | ||
| plástica, firme y duro. No aparecen cútanes. Poros, pocas a ninguno, micra. | ||
| Fragmentas rocosos, pocas, micaesquistos, tabulares, subangulares, alterados, | ||
| grava. Nódulos muy pocas, blandos grandes e irregulares. Fuertemente | ||
| calcárea. Raíces, muy pocas y muy finas. Límite difuso y ondulado. | ||
| C1k | 50-130 | Color gris claro (10YR 7/2) en húmedo, blanco (10YR 8/2) en seco. Textura |
| limosa. Estructura, aglomerada. No adherente, no plástica, firme y muy duro. No | ||
| 120 |
aparecen cútanes. No porosa. Fragmentos rocosos, muy pocos, micaesquistos,
gravilla. Nódulos no aparecen. Fuertemente calcárea. Raíces, no aparecen.
Límite neto e irregular.
NOTA: Se trata de un depósito de CO3Ca con abundantes fragmentos de
cuarcitas muy alteradas.
C2 130-180 Cuarcitas muy alteradas formando bolsones.
RESULTADOS ANALITICOS

Bases y Capacidad (meq/100 gr)

FICHA CLIMATICA DEL PERFIL
